|
На данной странице представлена ознакомительная часть выбранного Вами патента
Для получения более подробной информации о патенте (полное описание, формула изобретения и т.д.) Вам необходимо сделать заказ. Нажмите на «Корзину»
| ПРОИЗВОДНЫЕ ЛАКТАМА ИЛИ ИХ ФИЗИОЛОГИЧЕСКИЕ ПРИЕМЛЕМЫЕ СОЛИ ИЛИ СОЛЬВАТЫ |  |
Номер публикации патента: 2081117 |  |
| Редакция МПК: | 6 | | Основные коды МПК: | C07D471/04 A61K031/36 | | Аналоги изобретения: | Патент ФРГ N 3740352, кл. A 61 K 31/415, 1989. Патент ЕПВ N 0306323, кл. C 07 D 41/04, 1990. Nature, 1987, 330, 746. |
| Имя заявителя: | Глэксо Груп Лимитед (GB) | | Изобретатели: | Ян Гаральд Коутс[GB] Александр Уильям Оксфорд[GB] Питер Чарльз Норт[GB] Барри Джон Прайс[GB] | | Патентообладатели: | Глэксо Груп Лимитед (GB) |
Реферат |  |
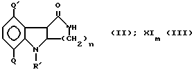
Сущность изобретения: производные лактама ф-лы I. Реагент 1: соединение ф-лы II. Реагент 2: алкилирующий агент ф-лы III. Условия реакции: в присутствии кислоты при повышенной температуре. Структура соединений ф-лы I,II, III при соответствующих значениях радикалов:  2 с. и 2 з.п. ф-лы.
|