Промышленная Сибирь Ярмарка Сибири Промышленность СФО Электронные торги НОУ-ХАУ Электронные магазины Карта сайта
 
 

Поиск патентов

Как искать?
Реферат
Название
Публикация
Регистрационный номер
Имя заявителя
Имя изобретателя
Имя патентообладателя

    





Оформить заказ и задать интересующие Вас вопросы Вы можете напрямую c 6-00 до 14-30 по московскому времени кроме сб, вс. whatsapp 8-950-950-9888

На данной странице представлена ознакомительная часть выбранного Вами патента

Для получения более подробной информации о патенте (полное описание, формула изобретения и т.д.) Вам необходимо сделать заказ. Нажмите на «Корзину»


УСТРОЙСТВО СИНХРОНИЗАЦИИ СКОРОСТНОЙ ВИДЕОСЪЕМКИ ПРОЦЕССОВ ВИБРАЦИОННОГО ГОРЕНИЯ

Номер публикации патента: 2467496

Вид документа: C1 
Страна публикации: RU 
Рег. номер заявки: 2011116963/07 
  Сделать заказПолучить полное описание патента

Редакция МПК: 
Основные коды МПК: H04N005/04    
Аналоги изобретения: JP 61055518 А, 20.03.1986. RU 53523 U1, 10.05.2006. JP 1019217 A, 23.01.1989. RU 51737 U1, 27.02.2006. US 2004195510 A1, 07.10.2004. US 20050122422 A1, 09.06.2005. 

Имя заявителя: Федеральное государственное унитарное предприятие "Центральный институт авиационного моторостроения имени П.И. Баранова" (RU) 
Изобретатели: Асланян Эдуард Владимирович (RU) 
Патентообладатели: Федеральное государственное унитарное предприятие "Центральный институт авиационного моторостроения имени П.И. Баранова" (RU) 

Реферат


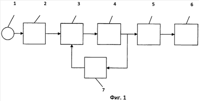
Изобретение относится к измерительной технике и может быть использовано, например, для видеорегистрации колеблющихся зон горения в камерах сгорания сверхзвуковых авиационных и ракетных двигателей при их экспериментальных исследованиях и доводке. Техническим результатом является повышение точности видеорегистрации зон вибрационного горения в камерах сгорания сверхзвуковых авиационных и ракетных двигателей. Устройство синхронизации скоростной видеосъемки процессов вибрационного горения, содержащее датчик синхросигналов, выход которого соединен с входом амплитудного нормализатора и компаратор по нуль-переходу, а между амплитудным нормализатором и компаратором установлен полосовой электрический фильтр, с управляемой напряжением частотой пропускания, управляющий вход которого через преобразователь частоты в напряжение соединен с выходом компаратора, который через дискретный фазовращатель подключен к синхронизирующему входу видеокамеры. 1 ил.

Дирекция сайта "Промышленная Сибирь"
Россия, г.Омск, ул.Учебная, 199-Б, к.408А
Сайт открыт 01.11.2000
© 2000-2018 Промышленная Сибирь
Разработка дизайна сайта:
Дизайн-студия "RayStudio"