Промышленная Сибирь Ярмарка Сибири Промышленность СФО Электронные торги НОУ-ХАУ Электронные магазины Карта сайта
 
 

Поиск патентов

Как искать?
Реферат
Название
Публикация
Регистрационный номер
Имя заявителя
Имя изобретателя
Имя патентообладателя

    





Оформить заказ и задать интересующие Вас вопросы Вы можете напрямую c 6-00 до 14-30 по московскому времени кроме сб, вс. whatsapp 8-950-950-9888

На данной странице представлена ознакомительная часть выбранного Вами патента

Для получения более подробной информации о патенте (полное описание, формула изобретения и т.д.) Вам необходимо сделать заказ. Нажмите на «Корзину»


ТЕХНОЛОГИИ ЗАПИСИ КОНТЕНТА

Номер публикации патента: 2368094

Вид документа: C2 
Страна публикации: RU 
Рег. номер заявки: 2005120668/09 
  Сделать заказПолучить полное описание патента

Редакция МПК: 
Основные коды МПК: H04N005/445   H04H060/72   H04N005/91    
Аналоги изобретения: US 6025837 А, 15.02.2000. US 2004078817 А1, 22.04.2004. WO 2004002156 A1, 31.12.2003. RU 2180470 C2, 10.03.2002. US 6374406 B2, 16.04.2004. US 6173112 B1, 09.01.2001. US 6177931 B1, 23.01.2001. KR 20040041184 A, 17.05.2004. US 2003198461 A1, 23.10.2003. RU 2001107849 A, 10.03.2003. 

Имя заявителя: МАЙКРОСОФТ КОРПОРЕЙШН (US) 
Изобретатели: САНДЕРС Скотт Д. (US)
ЗИГМОНД Дэниел Дж. (US) 
Патентообладатели: МАЙКРОСОФТ КОРПОРЕЙШН (US) 
Приоритетные данные: 15.07.2004 US 10/891,579 

Реферат


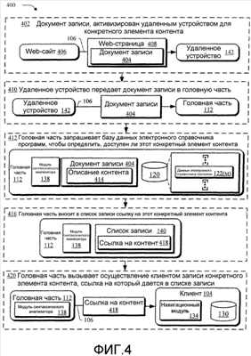
Изобретение относится к технологиям записи контента. Техническим результатом является повышение функциональных возможностей, доступных пользователю, такие как возможность переключаться со старого клиента на нового клиента, не заменяя при этом вручную данных о состоянии клиента со старого клиента на нового клиента, удаленная инициация записи контента без получения соединения с самим клиентом. Предложен способ записи контента согласно которому: принимают по сети документ записи, который описывает элемент контента, но не описывает, доступен ли элемент контента для записи или то, как элемент контента должен быть записан, причем документ записи сгенерирован из текстового описания элемента контента и включает в себя одно или более слов из упомянутого текстового описания, причем текстовое описание не включает в себя предварительно сконфигурированный документ записи, запрашивают данные электронного справочника программ (ЭСП), чтобы определить, доступен ли элемент контента, описанный в документе записи, для записи без вмешательства пользователя, и если да - как этот элемент контента должен быть записан; проверяют данные о состоянии клиента, которые описывают условные права доступа клиента, для определения, разрешена ли запись элемента контента для этого клиента с использованием управления цифровыми правами; и если элемент контента доступен и запись разрешена, то вносят в список записи ссылку, чтобы вызвать осуществление записи этого элемента контента без вмешательства пользователя. 8 н. и 23 з.п. ф-лы, 8 ил.

Дирекция сайта "Промышленная Сибирь"
Россия, г.Омск, ул.Учебная, 199-Б, к.408А
Сайт открыт 01.11.2000
© 2000-2018 Промышленная Сибирь
Разработка дизайна сайта:
Дизайн-студия "RayStudio"