|
На данной странице представлена ознакомительная часть выбранного Вами патента
Для получения более подробной информации о патенте (полное описание, формула изобретения и т.д.) Вам необходимо сделать заказ. Нажмите на «Корзину»
| МНОГОПОЛЮСНЫЙ МОДУЛЬ С ЛОГИЧЕСКИМИ ПОРОГАМИ |  |
Номер публикации патента: 2168822 |  |
| Редакция МПК: | 7 | | Основные коды МПК: | H02H003/05 | | Аналоги изобретения: | SU 227440 A, 05.09.1968. RU 2093941 C, 20.10.1997. RU 2081492 C1, 10.06.1997. GB 2022946 A, 18.04.1979. |
| Имя заявителя: | Государственное научное учреждение Всероссийский научно-исследовательский институт электрификации сельского хозяйства | | Изобретатели: | Сафонов Г.С. Пелевина Е.В. | | Патентообладатели: | Государственное научное учреждение Всероссийский научно-исследовательский институт электрификации сельского хозяйства |
Реферат |  |
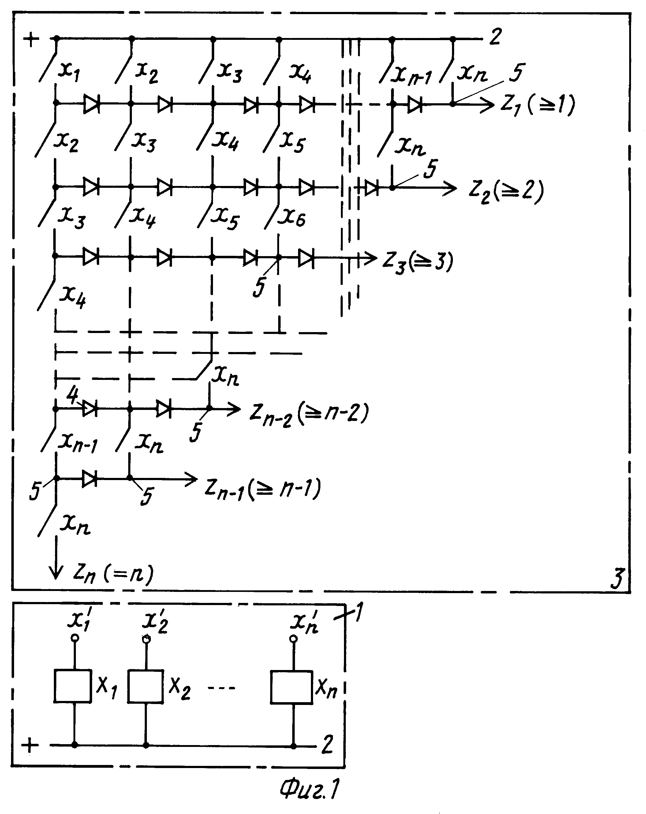
Изобретение относится к области технической кибернетики, в частности к системам управления, контроля, диагностики. Решение задачи по формированию управляющих сигналов на группу исполнительных элементов, включение в работу которых происходит только после формирования для данного исполнительного элемента заданного логического порога срабатывания, осуществляется с помощью многополюсного модуля с логическими порогами, имеющего n входов (управляющих обмоток блока реле) и треугольной контактной матрицы с n выходами. На входы модуля подаются входные воздействия (сигналы двоичной последовательности), а на выходах матрицы формируются надежные сигналы управления исполнительными элементами, соответствующие различным уровням (рангам) логических порогов, устойчивые, в отдельных случаях, к случайным и систематическим отказам элементов структуры модуля. Для достижения задачи формирования сигналов управления исполнительными элементами с заданными логическими порогами срабатывания достоверностью, равной 1, используется блок реле и контактная треугольная матрица, представляющая собой мостиковую (класса Н) структуру, описываемая для каждого выхода матрицы системой симметрических булевых функций, реализуемых схемами "голосования". Треугольная матрица построена на нормально разомкнутых контактах блока реле модуля, которые размещены по ярусам с убыванием на единицу номеров контактов в каждом столбце, одноименные диагональные контакты матрицы развязаны диодами. Два смежных контакта любого столбца матрицы, а также средняя точка двух последовательно соединенных диодов матрицы образуют узлы. На выходных узлах каждой строки матрицы формируются сигналы управления исполнительными элементами с нижним уровнем логического порога, соответствующего порядковому номеру выхода контактной матрицы. Верхний ярус матрицы составлен нормально разомкнутыми контактами всех n реле и подключен к плюсовой шине источника питания. Нижний ярус заканчивается одним замыкающим контактом реле Хn, на выходе которого формируется сигнал с логическим порогом ранга =n. Блок реле имеет Х1, Х2, Х3, ... Хn управляющих обмоток, подключенных к полосовой шине источника питания, на входы которых подаются входные воздействия x'1, x'2, x'3 ... 'n, где xi∈0,1. Наиболее целесообразное применение многополюсного модуля с логическими порогами - это в ядерной энергетике, в системах, обеспечивающих высокую степень готовности к применению технически сложных систем космической и ракетной техники, что является техническим результатом. 3 ил.
|