Промышленная Сибирь Ярмарка Сибири Промышленность СФО Электронные торги НОУ-ХАУ Электронные магазины Карта сайта
 
 

Поиск патентов

Как искать?
Реферат
Название
Публикация
Регистрационный номер
Имя заявителя
Имя изобретателя
Имя патентообладателя

    





Оформить заказ и задать интересующие Вас вопросы Вы можете напрямую c 6-00 до 14-30 по московскому времени кроме сб, вс. whatsapp 8-950-950-9888

На данной странице представлена ознакомительная часть выбранного Вами патента

Для получения более подробной информации о патенте (полное описание, формула изобретения и т.д.) Вам необходимо сделать заказ. Нажмите на «Корзину»


АВИАЦИОННАЯ ЭНЕРГОУСТАНОВКА С ГЕНЕРАТОРОМ НА ТОПЛИВНЫХ ЭЛЕМЕНТАХ

Номер публикации патента: 2440644

Вид документа: C1 
Страна публикации: RU 
Рег. номер заявки: 2010143066/07 
  Сделать заказПолучить полное описание патента

Редакция МПК: 
Основные коды МПК: H01M014/00   H01M008/04    
Аналоги изобретения: RU 2356134 C1, 20.05.2009. RU 2382445 C1, 20.02.2010. US 2006280977 A1, 14.12.2006. JP 2007335411 A, 27.12.2007. 

Имя заявителя: Федеральное государственное образовательное учреждение высшего профессионального образования "Военный авиационный инженерный университет" (г. Воронеж) Министерства обороны Российской Федерации (RU) 
Изобретатели: Винокуров Владислав Дмитриевич (RU)
Винокуров Станислав Дмитриевич (RU)
Казаков Евгений Борисович (RU)
Шуклин Игорь Клавдиевич (RU) 
Патентообладатели: Федеральное государственное образовательное учреждение высшего профессионального образования "Военный авиационный инженерный университет" (г. Воронеж) Министерства обороны Российской Федерации (RU) 

Реферат


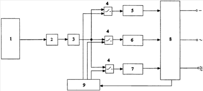
Изобретение относится к энергетике и может использоваться в автономных, резервных, авиационных энергоустановках. Техническим результатом является преобразование энергии топливных элементов в электрическую энергию повышенного качества с заданными выходными параметрами для надежного питания бортовых потребителей воздушного судна всеми видами электрического тока, исключающее подачу напряжения при аварийных ситуациях. Согласно изобретению в авиационную энергоустановку с генератором на топливных элементах, содержащую генератор на топливных элементах, стабилизатор, первый DC-DC преобразователь, первый инвертор, три коммутационных элемента и блок автоматического управления и контроля, дополнительно введены второй DC-DC преобразователь, второй инвертор и блок защиты, первый, второй и третий выходы которого соединены с соответствующими входами коммутационных элементов, и при этом подключен к четвертому выходу блока автоматического управления и контроля, первый, второй и третий выходы которого являются выходами устройства, причем выход генератора является входом стабилизатора, выход которого является входом первого DC-DC преобразователя, выход которого через коммутационные элементы параллельно соединяется со входами второго DC-DC преобразователя, первого и второго инверторов, выходы которых являются входами блока автоматического управления и контроля. 1 ил.

Дирекция сайта "Промышленная Сибирь"
Россия, г.Омск, ул.Учебная, 199-Б, к.408А
Сайт открыт 01.11.2000
© 2000-2018 Промышленная Сибирь
Разработка дизайна сайта:
Дизайн-студия "RayStudio"