Промышленная Сибирь Ярмарка Сибири Промышленность СФО Электронные торги НОУ-ХАУ Электронные магазины Карта сайта
 
 

Поиск патентов

Как искать?
Реферат
Название
Публикация
Регистрационный номер
Имя заявителя
Имя изобретателя
Имя патентообладателя

    





Оформить заказ и задать интересующие Вас вопросы Вы можете напрямую c 6-00 до 14-30 по московскому времени кроме сб, вс. whatsapp 8-950-950-9888

На данной странице представлена ознакомительная часть выбранного Вами патента

Для получения более подробной информации о патенте (полное описание, формула изобретения и т.д.) Вам необходимо сделать заказ. Нажмите на «Корзину»


ЭЛЕКТРОННАЯ СИСТЕМА СБОРА ДОРОЖНОЙ ПОШЛИНЫ ДЛЯ ПУТЕЙ СООБЩЕНИЯ И СПОСОБ ЕЕ ФУНКЦИОНИРОВАНИЯ

Номер публикации патента: 2378700

Вид документа: C2 
Страна публикации: RU 
Рег. номер заявки: 2006136787/09 
  Сделать заказПолучить полное описание патента

Редакция МПК: 
Основные коды МПК: G07B015/02    
Аналоги изобретения: WO 03063088 А2, 31.07.2003. RU 2141738 C1, 20.11.1999. KR 20010037832 А, 15.05.2001. RU 2117991 С1, 20.08.1998. DE 10200495 А1, 10.07.2003. RU 2124271 С1, 27.12.1998. DE 10032409 А1, 08.02.2001. 

Имя заявителя: Т-МОБИЛЕ ИНТЕРНАЦИОНАЛЬ АГ УНД КО. КГ (DE) 
Изобретатели: АЛЬФЕРТ Буркхард (DE)
БАРТ Рольф-Эдгар (DE)
КЕРНДЛЬМАЙЕР Вальтер (DE) 
Патентообладатели: Т-МОБИЛЕ ИНТЕРНАЦИОНАЛЬ АГ УНД КО. КГ (DE) 
Приоритетные данные: 18.03.2004 DE 102004013807.9 

Реферат


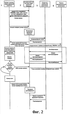
Изобретение относится к электронной системе сбора дорожной пошлины для проезжих дорог и процессу ее функционирования. Техническим результатом является использование для сбора дорожной пошлины имеющихся в наличии систем мобильной радиосвязи и имеющихся у клиентов стандартных мобильных телефонов GSM/UMTS или сравнимых с ними аппаратов, таких как PDA (персональное информационное устройство), автомобильный радиотелефон и прочие, с функцией GSM без произведения изменения программного обеспечения. В каждой сети мобильной радиосвязи посредством организационного канала на радиотелефон передаются данные соответствующих радиоячеек. Доставленная стационарными радиостанциями информация используется для того, чтобы регистрировать в радиотелефоне проезжаемые клиентом системы сбора дорожной пошлины радиоячейки. Собранные вместе данные передаются на центральный пост системы сбора дорожной пошлины. На основании последовательности пройденных радиоячеек, переданной оконечным устройством клиента, которому подлежит оплата дорожной пошлины, можно путем сравнения с банком данных имеющихся в наличии путей сообщения с высокой точностью сделать вывод о том, какой путь сообщения, облагаемый дорожной пошлиной, использовало транспортное средство. 2 н. и 22 з.п. ф-лы, 6 ил.

Дирекция сайта "Промышленная Сибирь"
Россия, г.Омск, ул.Учебная, 199-Б, к.408А
Сайт открыт 01.11.2000
© 2000-2018 Промышленная Сибирь
Разработка дизайна сайта:
Дизайн-студия "RayStudio"