Промышленная Сибирь Ярмарка Сибири Промышленность СФО Электронные торги НОУ-ХАУ Электронные магазины Карта сайта
 
 

Поиск патентов

Как искать?
Реферат
Название
Публикация
Регистрационный номер
Имя заявителя
Имя изобретателя
Имя патентообладателя

    





Оформить заказ и задать интересующие Вас вопросы Вы можете напрямую c 6-00 до 14-30 по московскому времени кроме сб, вс. whatsapp 8-950-950-9888

На данной странице представлена ознакомительная часть выбранного Вами патента

Для получения более подробной информации о патенте (полное описание, формула изобретения и т.д.) Вам необходимо сделать заказ. Нажмите на «Корзину»


СПОСОБ ИЗМЕРЕНИЯ ФЛЮЕНСА ТЕПЛОВЫХ НЕЙТРОНОВ МОНОКРИСТАЛЛИЧЕСКИМ КРЕМНИЕМ

Номер публикации патента: 2472181

Вид документа: C1 
Страна публикации: RU 
Рег. номер заявки: 2011129181/28 
  Сделать заказПолучить полное описание патента

Редакция МПК: 
Основные коды МПК: G01T003/08    
Аналоги изобретения: RU 2379713 C1, 20.01.2010. RU 2339975 C1, 27.11.2008. RU 2006881 C1, 30.01.1994. US 7514694 B2, 07.04.2009. 

Имя заявителя: Государственное образовательное учреждение высшего профессионального образования "Национальный исследовательский Томский политехнический университет" (RU) 
Изобретатели: Варлачев Валерий Александрович (RU)
Емец Евгений Геннадьевич (RU)
Солодовников Евгений Семенович (RU) 
Патентообладатели: Государственное образовательное учреждение высшего профессионального образования "Национальный исследовательский Томский политехнический университет" (RU) 

Реферат


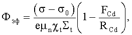
Изобретение относится к области радиационных технологий, а также к эксплуатации ядерных установок и ускорителей. Сущность изобретения заключается в том, что включает измерение удельного электрического сопротивления монокристаллического кремния до и после облучения, облучение неизвестным флюенсом нейтронов, отжиг радиационных дефектов в кремнии после каждого облучения, при этом облучение кремния проводят в кадмиевом экране толщиной 0,5-1,5 мм и без кадмиевого экрана, вычисляют кадмиевое отношение по изменениям удельных электрических проводимостей RCd=(-0)/(Cd-0,Cd), где 0,Cd, 0 - удельные электрические проводимости перед облучением в кадмиевом экране и без него, Cd, - соответствующие удельные электрические проводимости кремния в кадмиевом экране и без него после облучения и отжига, и определяют абсолютный эффективный флюенс тепловых нейтронов где е, µn - заряд и подвижность электронов в монокристаллах кремния, t - коэффициент самоэкранировки тепловых нейтронов в шайбе кремния, t - макроскопическое сечение реакции радиационного захвата тепловых нейтронов кремнием-30, FCd - поправочный коэффициент, учитывающий поглощение надтепловых нейтронов в кадмии. Технический результат - измерение абсолютных значений флюенса тепловых нейтронов без дополнительной калибровки, независимость результатов измерений от спектра нейтронов. 1 табл.
Дирекция сайта "Промышленная Сибирь"
Россия, г.Омск, ул.Учебная, 199-Б, к.408А
Сайт открыт 01.11.2000
© 2000-2018 Промышленная Сибирь
Разработка дизайна сайта:
Дизайн-студия "RayStudio"