Промышленная Сибирь Ярмарка Сибири Промышленность СФО Электронные торги НОУ-ХАУ Электронные магазины Карта сайта
 
 

Поиск патентов

Как искать?
Реферат
Название
Публикация
Регистрационный номер
Имя заявителя
Имя изобретателя
Имя патентообладателя

    





Оформить заказ и задать интересующие Вас вопросы Вы можете напрямую c 6-00 до 14-30 по московскому времени кроме сб, вс. whatsapp 8-950-950-9888

На данной странице представлена ознакомительная часть выбранного Вами патента

Для получения более подробной информации о патенте (полное описание, формула изобретения и т.д.) Вам необходимо сделать заказ. Нажмите на «Корзину»


ИМИТАТОР РАДИОЛОКАЦИОННОГО ВЫСОКОЧАСТОТНОГО ЧАСТОТНО - МОДУЛИРОВАННОГО ДОПЛЕРОВСКОГО СИГНАЛА

Номер публикации патента: 2469348

Вид документа: C2 
Страна публикации: RU 
Рег. номер заявки: 2010128712/07 
  Сделать заказПолучить полное описание патента

Редакция МПК: 
Основные коды МПК: G01S007/40    
Аналоги изобретения: SU 1758617 A1, 30.08.1992. RU 211506 C1, 20.05.1998. RU 94039182 A1, 27.08.1996. RU 2267798 C1, 10.01.2006. US 6037897 A, 14.03.2000. US 6346909 В1, 12.02.2002. WO 03105272 А1, 18.12.2003. 

Имя заявителя: Федеральное государственное автономное образовательное учреждение высшего профессионального образования "ЮЖНЫЙ ФЕДЕРАЛЬНЫЙ УНИВЕРСИТЕТ" (RU) 
Изобретатели: Дорух Игорь Георгиевич (RU)
Огурцов Евгений Сергеевич (RU)
Огурцов Сергей Федорович (RU)
Борисов Игорь Викторович (RU)
Бойко Иван Николаевич (RU)
Савицкий Олег Анатольевич (RU) 
Патентообладатели: Федеральное государственное автономное образовательное учреждение высшего профессионального образования "ЮЖНЫЙ ФЕДЕРАЛЬНЫЙ УНИВЕРСИТЕТ" (RU) 

Реферат


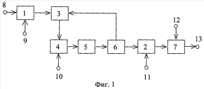
Имитатор радиолокационного высокочастотного частотно-модулированного доплеровского сигнала предназначен для использования в генераторах сигналов сложной формы, а также в моделирующих комплексах, предназначенных для испытаний и исследований радиотехнических систем. Система содержит два фазовых модулятора, балансный модулятор, фазовый детектор, управляемый генератор высокочастотного сигнала, направленный ответвитель, управляемый аттенюатор, определенным образом соединенные между собой. Вновь введенные указанные фазовый детектор, управляемый генератор высокочастотного сигнала и направленный ответвитель обеспечивают повышение достоверности имитации отраженного от цели сигнала, что и является достигаемым техническим результатом изобретения. 1 ил.

Дирекция сайта "Промышленная Сибирь"
Россия, г.Омск, ул.Учебная, 199-Б, к.408А
Сайт открыт 01.11.2000
© 2000-2018 Промышленная Сибирь
Разработка дизайна сайта:
Дизайн-студия "RayStudio"