|
На данной странице представлена ознакомительная часть выбранного Вами патента
Для получения более подробной информации о патенте (полное описание, формула изобретения и т.д.) Вам необходимо сделать заказ. Нажмите на «Корзину»
| СИСТЕМА КОНТРОЛЯ И ЗАЩИТЫ ДИЗЕЛЬНОЙ УСТАНОВКИ |  |
Номер публикации патента: 2166112 |  |
| Редакция МПК: | 7 | | Основные коды МПК: | F02D017/04 G05D013/04 | | Аналоги изобретения: | SU 1665055 А1, 23.07.1991. RU 2015384 С1, 30.06.1994. SU 498405 А, 05.01.1976. DE 3346261 А1, 09.05.1985. US 5072702 А, 17.12.1991. |
| Имя заявителя: | Открытое акционерное общество "Техприбор" | | Изобретатели: | Фурмаков Е.Ф. Коломнин В.В. Петров О.Ф. Степанян Н.М. Гаврилов А.Г. | | Патентообладатели: | Открытое акционерное общество "Техприбор" |
Реферат |  |
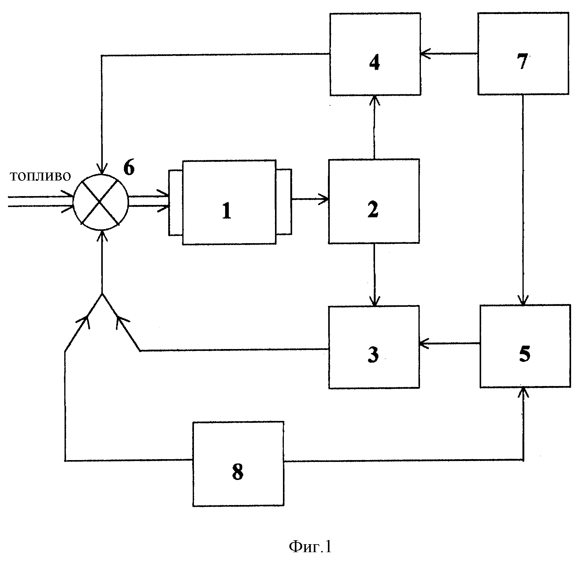
Изобретение относится к приборостроению и может быть использовано для контроля и аварийной защиты двигателя, в частности, судовой дизельной установки. Техническая задача, решаемая изобретением, - повышение надежности контроля и защиты дизельной установки от разноса в пусковом режиме. Устройство содержит установленный на двигателе измеритель скорости вращения, блок фиксации наличия экстремума скорости вращения, элемент сравнения, таймер контрольного времени, управляемый топливный вентиль, установленный в топливной магистрали двигателя, задатчик контрольной скорости вращения и контрольного времени, а также кнопку "Пуск". Выход элемента сравнения соединен с запрещающим входом управляемого топливного вентиля, первый вход элемента подключен к выходу задатчика, а второй вход - к первому выходу измерителя скорости вращения. Второй выход измерителя соединен с первым входом блока фиксации наличия экстремума скорости вращения, второй вход которого подключен к выходу таймера контрольного времени, а выход - к разрешающему входу управляемого топливного вентиля. Дополнительный выход задатчика соединен со входом таймера контрольного времени, а кнопка "Пуск" подключена к разрешающему входу вентиля и таймеру контрольного времени. 2 ил.
|