|
На данной странице представлена ознакомительная часть выбранного Вами патента
Для получения более подробной информации о патенте (полное описание, формула изобретения и т.д.) Вам необходимо сделать заказ. Нажмите на «Корзину»
| ЗАМЕЩЕННЫЕ БЕНЗОТРИАЗОЛЫ, СТАБИЛИЗИРОВАННЫЕ КОМПОЗИЦИИ И ПОКРЫВНАЯ СИСТЕМА |  |
Номер публикации патента: 2127264 |  |
| Редакция МПК: | 6 | | Основные коды МПК: | C07D249/20 C08K005/3475 C09D005/00 C08F220/38 C08L033/14 | | Аналоги изобретения: | US 3766205 A, 1975. SU 732320 A, 1980. SU 545265 A, 1977. Г.Я.Гордон. Стабилизация синтетических полимеров. - М.: ГНТИ, 1963, с.189. US 3218332 A, 1965. |
| Имя заявителя: | Циба Спешиалти Кемикэлс Холдинг Инк. (CH) | | Изобретатели: | Роланд А.Е.Винтер (US) Тайлер А.Стивенсон (US) Фолкер Х.Фон Ан. (US) Марк С.Хольт (US) Раманатан Равичандран (US) | | Патентообладатели: | Циба Спешиалти Кемикэлс Холдинг Инк. (CH) | | Номер конвенционной заявки: | 828.291 | | Страна приоритета: | US |
Реферат |  |
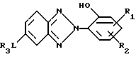
Замещенные бензотриазолы общей формулы A  представляют собой важный класс коммерческих УФ-абсорберов, которые нашли широкое применение в качестве стабилизаторов для защиты широкого круга органических субстратов от неблагоприятных воздействий актиничного излучения соединения формулы A, где R1 - прямоцепочечный или разветвленный алкил, содержащий от 1 до 24 атомов углерода; R2 - прямоцепочечный или разветвленный алкил, содержащий от 1 до 24 атомов углерода, причем указанный алкил может быть замещен одной или более гидроксигруппой, или R2-CH2CH2COR5, где R5-NH2 или OR6, где R6 - водород, алкил, содержащий от 1 до 24 атомов углерода, или OR6-(OCH2CH2)WOH, где W - от 1 до 12, или R2-(CH2m-CO-X(Z)P-Y-R15, где X и Y - O, - Z - алкилен с числом углеродных атомов от 3 до 13, замещенный гидроксильной группой, R15 - группа -CO-C(R18)=CH2, где R18 - водород или метил, m = 0,1 или 2, а p = 1; R3 - алкил с C8-20, арил с C6-10, или представляет собой радикал формулы B2 , где E - C2-C12-алкилен, C5-C12-циклоалкилен или C8-C12-алкилен, прерванный циклогексиленом, r = 0 или 1; L = -SO - или -SO2. На основе соединений А получают стабилизированную композицию, содержащую полимер, подвергаемый разрушению вследствие неблагоприятного воздействия актиничного излучения, а также покрывную систему, состоящую из нижнего и верхнего слоев полимера, содержащих эффективное количество соединения (А). УФ-Абсорберы на основе 2-(2-гидроксифенил)-2Н-бензотриазолов, замещенных в положении 5 бензо-кольца сульфоксидной или сульфоновой группой, проявляют повышенную абсорбцию в околовидимом диапазоне (свыше 350 нм), что позволяет указанным соединениям быть особенно эффективными в защите полимерных систем, которые подвержены разрушению, вызванному актиничным излучением при длине волны свыше 350 нм. 5 с. и 16 з.п.ф-лы, 4 табл.
|