|
На данной странице представлена ознакомительная часть выбранного Вами патента
Для получения более подробной информации о патенте (полное описание, формула изобретения и т.д.) Вам необходимо сделать заказ. Нажмите на «Корзину»
| СПОСОБ ПОЛУЧЕНИЯ 6α, 9α - ДИФТОРИРОВАННЫХ СТЕРОИДОВ, ПРОМЕЖУТОЧНЫЕ СОЕДИНЕНИЯ |  |
Номер публикации патента: 2127739 |  |
| Редакция МПК: | 6 | | Основные коды МПК: | C07J001/00 C07J075/00 | | Аналоги изобретения: | GB 2175905, 1986. SU 1189353 A1, 1985. EP 0147155 A1, 1985. FR 2348932 A1, 1977. US 4874855 A1, 1989. US 4383947 A1, 1983. |
| Имя заявителя: | Руссель Юклаф (FR) | | Изобретатели: | Жан-Ив Годар (FR) Филипп Маккьевич (FR) Дени Пра (FR) Кристиан Ришар (FR) | | Патентообладатели: | Руссель Юклаф (FR) | | Номер конвенционной заявки: | 9301275 | | Страна приоритета: | FR |
Реферат |  |
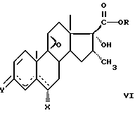
Объект изобретения - новый способ получения 6α, 9α-дифторированных стероидов формулы I, где R - атом водорода или сложноэфирный остаток, отличается тем, что соединение формулы II подвергают обработке окислительным разрушающим средством для получения соединения формулы III, в котором кетоновую функциональную группу в положении 3 защищают в форме енолового эфира или сложного эфира и, при необходимости, кислую функциональную группу в положении 17β в форме сложного эфира для получения соединения формулы IV, где значение R как указано выше, а R1 эфирный или сложноэфирный еноловый остаток, на который воздействуют электрофильным фторирующим средством для получения соединения формулы V, который подвергают обработке нуклеофильным фторирующим средством для получения соединения формулы I и который, при необходимости, когда R сложноэфирный остаток, подвергают омылению для получения соответствующей кислоты. Преимущество предложенного способа заключается в том, что защите подвергают только кетоновую функциональную группу в положении 3 в форме енолового эфира или сложного эфира для получения соединения формулы IV. Другим объектом изобретения являются новые соединения формулы VI, где R имеет значение, указанное в формуле I, X представляет атом водорода или фтора, а Y, связанный с пунктирными линиями, представляет собой систему 3-кето&Dgr;4 или Х - атом водорода, а Y, связанный с пунктирными линиями, представляет собой систему 3-OR1 &Dgr; 3,5, в которой R1 определен, как указано в формуле I, которые могут быть использованы как промежуточные соединения при получении стероидных препаратов. 2 с. и 7 з.п.ф-лы.      
|