| 
			
					
			 На данной странице представлена ознакомительная часть выбранного Вами патента 
			
				Для получения более подробной информации о патенте (полное описание, формула изобретения и т.д.) Вам необходимо сделать заказ. Нажмите на «Корзину» 
			
			 
		   | ЗАМЕЩЕННЫЕ ЛИПОСАХАРИДЫ, ИСПОЛЬЗУЕМЫЕ ДЛЯ ЛЕЧЕНИЯ И ПРОФИЛАКТИКИ ЭНДОТОКСИКОЗА |      |  
 
 Номер публикации патента: 2170738 |   |  
  
	
	 
	
| Редакция МПК:  | 7  |  | Основные коды МПК:  | C07H015/12   C07H011/04   C07H013/06   A61P031/00     |  | Дополн. коды МПК:  | C07M007/00 C07M009/00   |  | Аналоги изобретения:  | 1. EP 0536969 А2, 14.04.1993. 2. WO 95/14026 А1, 26.05.1995. 3. GB 2179945 А, 18.03.1987. 4. EP 0172581 А2, 26.02.1986. 5. GB 2220211 А, 04.01.1990. 6. ФЕДОРЕЕВА Л.И. и др. Взаимодействие порообразующего белка внешней мембраны Yersinia pseudotuberculosis с липидом A и его синтетическими аналогами. - Биографическая химия, 1993, т.19, № 10, с. 933-940.  |  
	 
	 
	
| Имя заявителя:  | ЭЙСАЙ КО., ЛТД. (JP)  |  | Изобретатели:  | КРИСТ Вильям Дж. (US) РОССИГНОЛ Дэниел П. (US) КОБАЯСИ Сеити (JP) КАВАТА Цутому (US)  |  | Патентообладатели:  | ЭЙСАЙ КО., ЛТД. (JP)  |  | Номер конвенционной заявки:  | 08/461,675  |  | Страна приоритета:  | US  |  | Патентный поверенный:  | Лебедева Наталья Георгиевна  |  
	 
	 
Реферат |   |  
 
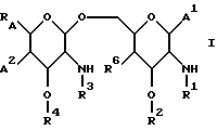
 Описывается новый замещенный липосахарид формулы I, где R1 представляет собой группу (а), где J и K - линейный C1-C15алкил, R2 представляет собой линейный C5-C15алкил; R3 представляет собой группу (b), где A и B обозначают линейный C1-C15алкил, R4 представляет собой группу (с), где каждый U и V обозначает линейный C2-C15алкил и W обозначает линейный C1-C5алкил; RA представляет собой R5-O-CH2-, где R5 представляет собой линейный C1-C5алкил; R6 представляет собой гидрокси; A1 и A2 обозначают группу (d), или его фармацевтически приемлемая соль. Соединения могут использоваться при профилактике и при конструктивном лечении эндотоксинного воздействия, включая сепсис, септицемию, эндотоксикоз и различные формы септического шока. 13 з. п. ф-лы, 3 ил., 2 табл.                 
		 |