|
На данной странице представлена ознакомительная часть выбранного Вами патента
Для получения более подробной информации о патенте (полное описание, формула изобретения и т.д.) Вам необходимо сделать заказ. Нажмите на «Корзину»
| АМИНООЛИГОСАХАРИД СК - 4416, СПОСОБ ЕГО ПОЛУЧЕНИЯ, ИНГИБИТОР САХАРИДГИДРОЛАЗЫ И АНТИБАКТЕРИАЛЬНЫЙ АГЕНТ |  |
Номер публикации патента: 2134694 |  |
| Редакция МПК: | 6 | | Основные коды МПК: | C07H017/04 C08B037/00 C12P019/28 C12Q001/34 A61K031/71 | | Дополн. коды МПК: | C12Q001/34 C12R001/465 | | Аналоги изобретения: | Chemical Abstarts, v.100, N 19, 07. May 1984 (Columbus, Ohio, USA) p.421, obstract N 155200 x , Tokyo Tanabe Co., Ltd, "Production of aminooligosacchanides", Jpn. Kokai Tokkyo Koho JP 58-172400. SU 1256699 A3, 1986. SU 1403990 A3, 1988. SU 1289382 A3, 1987. |
| Имя заявителя: | Чонг Кун Данг Корпорейшн (KR) | | Изобретатели: | Джунг Ву Ким (KR) Кванг Му Ли (KR) Хиюнг Сик Чун (KR) Джонг Гван Ким (KR) Хунг Бае Чанг (KR) Сун Хо Ким (KR) Киенг Бок Мин (KR) Кеюнг Сик Мун (KR) | | Патентообладатели: | Чонг Кун Данг Корпорейшн (KR) | | Номер конвенционной заявки: | 1994/39 755 | | Страна приоритета: | KR |
Реферат |  |
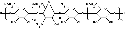
Изобретение касается нового аминоолигосахарида СК-4416 формулы I, где m - целое число, 0 или 1; n = 1-4, m+n - целое число от 1 до 5; R1 - низший алкилгидроксид и R2 - водород или низший алкил, и его фармацевтически пригодных нетоксичных солей, которые обладают сильной способностью ингибирования сахаридгидролазы и антибактериальной активностью. Изобретение касается также способа получения данного соединения и фармацевтических композиций, содержащих его в качестве активного ингредиента. В соответствии с изобретением авторы выделили новое аминоолигосахаридное производное из почвенного микроорганизма, классифицированного как Streptomyces вид, и обнаружили, что его можно применять в качестве сильнодействующего ингибитора сахаридгидролазы, а также в качестве антибактериальных агентов. 4 с.п. ф-лы, 4 ил., 6 табл. 
|