| На данной странице представлена ознакомительная часть выбранного Вами патента Для получения более подробной информации о патенте (полное описание, формула изобретения и т.д.) Вам необходимо сделать заказ. Нажмите на «Корзину» 
    | СПОСОБ ПОЛУЧЕНИЯ 9 - ЗАМЕЩЕННЫХ ПРОИЗВОДНЫХ ГУАНИНА |  | 
 | Номер публикации патента: 2090566 |  | 
 
| Редакция МПК: | 6 |  | Основные коды МПК: | C07D473/18   C07D233/90   C07H019/167 |  | Аналоги изобретения: | J.Org. Chem. 51, 1277-1282 (1986). A. Jamazak, Nucl, Acids, Res. 3, 251-259 (1976). |  
 
| Имя заявителя: | А/С Геа Фармасеутиск фабрик (DK) |  | Изобретатели: | Берге Альхеде[DK] Финн Приесс Клаузен[DK]
 Йерген Юхль-Кристенсен[DK]
 Клаус К.Макклуски[DK]
 Херберт Прейкшат[DK]
 |  | Патентообладатели: | А/С Геа Фармасеутиск фабрик (DK) |  | Номер конвенционной заявки: | 1354/89 |  | Страна приоритета: | DK |  
 | Реферат |  | 
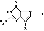
 Использование: в качестве противовирусных агентов и промежуточных продуктов получения препаратов. Сущность: 9-замещенные производных гуанина общей формулы I:
  где R - C1-C4-алкил, бензил или -(CH2)n-OR1, где n = 0,2, а R1 -CH2CH2OH. Реагент 1: 1-замещенный 5-(тиакарбамоил)амино-IH-имидазол-4-карбоксамид общей формулы III:
 
  где R имеет вышеуказанные значения. Реагент 2: перекись водорода в водной щелочной среде при температуре 0-30oC в присутствии ионов выделяют путем обработки кислотой.
 
 |