|
На данной странице представлена ознакомительная часть выбранного Вами патента
Для получения более подробной информации о патенте (полное описание, формула изобретения и т.д.) Вам необходимо сделать заказ. Нажмите на «Корзину»
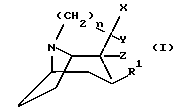
| КОНДЕНСИРОВАННЫЕ ТРОПАНОВЫЕ ПРОИЗВОДНЫЕ В КАЧЕСТВЕ ИНГИБИТОРОВ ОБРАТНОГО ЗАХВАТА НЕЙРОМЕДИАТОРОВ |  |
Номер публикации патента: 2162469 |  |
| Имя заявителя: | Ньюросерч А/С (DK) | | Изобретатели: | ШЕЕЛЬ-КРЮГЕР Йорген (DK) ОЛЬСЕН Гунар М. (DK) НИЛЬСЕН Эльсебет Эстергор (DK) ДАХЛЬ Бьярне Хуго (DK) ЕНСЕН Лейф Хельт (DK) | | Патентообладатели: | Ньюросерч А/С (DK) | | Номер конвенционной заявки: | 1223/95 | | Страна приоритета: | DK |
Реферат |  |
Конденсированные тропановые производные формулы I, где Х и Y вместе образуют = O, = S, =NOR2, =CR3R4, либо один из Х и Y является водородом, а другой - -OR5, -SR5, -NR5R6; Z - водород; R3 и R4 независимо представляют собой водород, низший алкил, низший алкенил, фенил(низший алкил) или -(CH2)q-COOR2; R2, R5, R6 независимо представляют собой водород, низший алкил, низший алкенил, -СО-(низший алкил), фенил(низший алкил) или -SO2-(низший алкил); R1 - низший алкил или фенил, возможно замещенный галогеном, СF3, CN, низшим алкилом или нитро; n = 1 или 2; q = 0, могут использоваться в качестве лекарственного средства, обладающего свойством ингибировать обратный захват нейромедиаторных моноаминов в центральной нервной системе. 4 с. и 3 з.п. ф-лы, 4 табл. 
|