|
На данной странице представлена ознакомительная часть выбранного Вами патента
Для получения более подробной информации о патенте (полное описание, формула изобретения и т.д.) Вам необходимо сделать заказ. Нажмите на «Корзину»
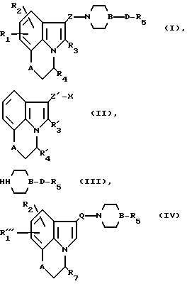
| 1,7 - АНЕЛЛИРОВАННЫЕ ПРОИЗВОДНЫЕ 3 - (ПИПЕРАЗИНОАЛКИЛ) - ИНДОЛА, СПОСОБ ИХ ПОЛУЧЕНИЯ (ВАРИАНТЫ), СОДЕРЖАЩАЯ ИХ ФАРМАЦЕВТИЧЕСКАЯ КОМПОЗИЦИЯ И ПРОМЕЖУТОЧНЫЙ ПРОДУКТ ДЛЯ ИХ ПОЛУЧЕНИЯ |  |
Номер публикации патента: 2083580 |  |
| Имя заявителя: | Кали-Хеми Фарма ГмбХ (DE) | | Изобретатели: | Даниэль Жассеран[US] Доминик Пари[US] Патрис Демоншо[US] Мишель Коттин[US] Франсуа Флош[US] Пьер Дюпассье[FR] Ричард Вайт[US] | | Патентообладатели: | Кали-Хеми Фарма ГмбХ (DE) | | Номер конвенционной заявки: | P 4128015.6 | | Страна приоритета: | DE |
Реферат |  |
Использование: в медицине в качестве лекарственных средств. Сущность изобретения: продукт-1,7-анеллированные производные 3-(гиперазиноалкил)-индола формулы I: где R1 - водород, низший алкоксил, низший алкилтио, гидроксил, галоген, нитро и другие; R2 - водород, галоген, низший алкил и другие; R3 - водород, низший алкил и другие; R4 - водород, C1-C7-алкил; C3-C7-алкенил, C3-C6-циклоалкил и другие; A - сера; кислород, алкиленовая цепь с 2-4-C атомами; R - азот или CH-группа; R5 - пиридинил, фенил, в случае необходимости, замещенный низшим алкилом, алкоксилом, галогеном; D - связь, а также промежуточный продукт - соединения формулы IV, где A - -CH2-, B - -CH2-, R5 - низший алкил; RI@1II - водород, низший алкил, нитрогруппа; R6 - низший алкилкарбонил; R2 - водород, низший алкил; R7 - водород, C1-C7-алкил; Q - Q'-CO-цепь, где Q' - алкиленовая цепь с 1-3-C-атомами. Соединения формулы I получают взаимодействием соединения формулы II с соединением формулы III или восстановлением соединения формулы IV или соединения формулы I, где RI@2V - водород, аминогруппа, ацилируют с помощью кислот или их реакционноспособных производных. Соединения формулы I используют в фармкомпозиции в эффективном количестве. 6 с. и 7 з. п., 6 табл. 
|