|
На данной странице представлена ознакомительная часть выбранного Вами патента
Для получения более подробной информации о патенте (полное описание, формула изобретения и т.д.) Вам необходимо сделать заказ. Нажмите на «Корзину»
| ЗАМЕЩЕННЫЕ ТИОФЕНСУЛЬФОНИЛМОЧЕВИНЫ, СПОСОБ ИХ ПОЛУЧЕНИЯ И ЛЕКАРСТВЕННОЕ СРЕДСТВО |  |
Номер публикации патента: 2164916 |  |
| Редакция МПК: | 7 | | Основные коды МПК: | C07D333/34 A61K031/64 A61K031/381 | | Аналоги изобретения: | SU 1496633 A3, 23.07.1989. EP 0459748 A3, 04.12.1991. EP 0042731 A1, 30.12.1981. EP 0612724 A1, 31.08.1994. |
| Имя заявителя: | ХЕХСТ АГ (DE) | | Изобретатели: | Хайнрих ЭНГЛЕРТ (DE) Йенс ХАРТУНГ (DE) Петер КРАУЗЕ (DE) Дитер МАНИА (DE) Хайнц ГЕГЕЛАЙН (DE) Йоахим КАЙЗЕР (DE) | | Патентообладатели: | ХЕХСТ АГ (DE) | | Номер конвенционной заявки: | 195 03 136.9 | | Страна приоритета: | DE | | Патентный поверенный: | Лебедева Наталья Георгиевна |
Реферат |  |
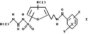
Описываются новые замещенные тиофенсульфонилмочевины общей формулы I где R(1) означает атом водорода или алкил с 1 или 2 С-атомами; R(2) означает атом водорода или алкил с 1 или 2 С-атомами; Y, Z одинаковые или различные и означают атом галогена или алкоксигруппу с 1 или 2 С-атомами; Х означает атом кислорода или серы, или их физиологически приемлемые соли. Соединения оказывают действие на сердечно-сосудистую систему. Описывается также способ их получения и лекарственное средство. 3 с. и 3 з.п.ф-лы, 2 табл. 
|