|
На данной странице представлена ознакомительная часть выбранного Вами патента
Для получения более подробной информации о патенте (полное описание, формула изобретения и т.д.) Вам необходимо сделать заказ. Нажмите на «Корзину»
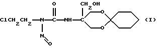
| 5 - ОКСИМЕТИЛ - 5 - [3 - (2 - ХЛОРЭТИЛ) - 3 - НИТРОЗОУРЕИДО] - 2 - ЦИКЛОГЕКСИЛ - 1,3 - ДИОКСАН, ОБЛАДАЮЩИЙ ПРОТИВООПУХОЛЕВОЙ АКТИВНОСТЬЮ |  |
Номер публикации патента: 2179555 |  |
| Редакция МПК: | 7 | | Основные коды МПК: | C07D319/08 A61K031/357 A61P035/00 | | Аналоги изобретения: | US 5864046 A, 26.01.1999. DE 19711758 A1, 24.09.1998. WO 99/129920 A1, 18.03.1999. SU 371220 A, 22.11.1973. Переводчикова Н.И. Химиотерапия опухолевых заболеваний. - М., 01.2000, с. 384. |
| Имя заявителя: | НИИ онкологии им. проф. Н.Н. Петрова | | Изобретатели: | Коньков С.А. Стуков А.Н. Ивин Б.А. Филов В.А. | | Патентообладатели: | НИИ онкологии им. проф. Н.Н. Петрова |
Реферат |  |
Изобретение относится к медицине, а именно к биологически активным соединениям, обладающим противоопухолевой активностью в отношении опухолей мышей и крыс. Описывается новое соединение 5-оксиметил-5-[3-(2-хлорэтил)-3-нитрозоуреидо] -2-циклогексил-1,3-диоксана формулы I, обладающее противоопухолевой активностью. Соединение I является высокоактивным цитотоксическим средством, обладающим выраженным терапевтическим эффектом на всех 3 штаммах исследованных перевивных опухолей. Сравнение противоопухолевой активности заявляемого соединения и ССNU на мышах с лейкемией Р-388 показало преимущество заявляемого соединения. 3 табл. 
|