|
На данной странице представлена ознакомительная часть выбранного Вами патента
Для получения более подробной информации о патенте (полное описание, формула изобретения и т.д.) Вам необходимо сделать заказ. Нажмите на «Корзину»
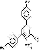
| СПОСОБ ПОЛУЧЕНИЯ ТЕТРАФТОРБОРАТОВ 2 - МЕТИЛ - 4,6 - ДИ - (N - ЗАМЕЩЕННОГО ОКСИФЕНИЛ)ПИРИЛИЯ |  |
Номер публикации патента: 1212010 |  |
| Редакция МПК: | 6 | | Основные коды МПК: | C07D309/34 | | Аналоги изобретения: | Патент США N 3567438, кл. 96-1, 6, опублик. 1971. |
| Имя заявителя: | Переславский филиал Всесоюзного государственного научно-исследовательского и проектного института химико-фотографической промышленности | | Изобретатели: | Боев В.И. Бойко Т.Н |
Реферат |  |
Способ получения тетрафторборатов 2-метил-4,6-ди-(n-замещенного оксифенил)пирилия общей формулы I  где R - алкил C1 - C8 или фенил, взаимодействием соответствующего производного фенола с уксусным ангидридом в присутствии производного трехфтористого бора при нагревании, отличающийся тем, что, с целью увеличения выхода и расширения ассортимента целевых продуктов, в качестве соответствующего производного фенола используют соединение общей формулы II  где R имеет указанные значения, в качестве производного трехфтористого бора используют соединение общей формулы III BF3 · X, где X - HF или группа формулы O(C2H5)2, и в случае, когда X - группа формулы O(C2H5)2, взаимодействие проводят при мольном соотношении соединения общей формулы II, уксусного ангидрида и соединения формулы III, равном 2 : 4 - 7 : 1,33 - 4,0 соответственно, или в случае, когда X - HF, взаимодействие проводят при мольном соотношении соединения общей формулы II, уксусного ангидрида и соединения формулы III, равном 2 : 12 - 16 : 0,95 - 1,05 соответственно, и нагревание ведут при температуре кипения реакционной смеси.
|