| 
			
					
			 На данной странице представлена ознакомительная часть выбранного Вами патента 
			
				Для получения более подробной информации о патенте (полное описание, формула изобретения и т.д.) Вам необходимо сделать заказ. Нажмите на «Корзину» 
			
			 
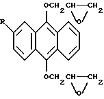
		   | СПОСОБ ПОЛУЧЕНИЯ ДИГЛИЦИДИЛОВЫХ ЭФИРОВ 9,10 - ДИОКСИАНТРАЦЕНОВ |      |  
 
 Номер публикации патента: 1154908 |   |  
  
	
	 
	
| Редакция МПК:  | 6  |  | Основные коды МПК:  | C07D301/28   C07D303/30     |  | Аналоги изобретения:  | 1. Патент Великобритании N 1386594, кл. C 2 C, опублик. 1975. 2. Патент США N 2467171, кл. 260-248, опублик. 1949.  |  
	 
	 
	
| Имя заявителя:  | Институт физико-органической химии и углехимии АН УССР  |  | Изобретатели:  | Качурин О.И. Зварич И.Л. Тицкий Г.Д. Шумейко А  |  
	 
	 
Реферат |   |  
 
 Способ получения диглицидиловых эфиров 9,10-диоксиантраценов общей формулы     где R - H, Cl, C2H5,  заключающийся в том, что 9,10-антрахинон общей формулы     где R имеет указанные значения,  подвергают взаимодействию с избытком эпихлоргидрина в присутствии гидросульфита натрия в щелочной среде в атмосфере инертного газа при 40 - 55oC, а полученный при этом хлоргидриновый эфир обрабатывают раствором щелочи и выделяют целевой продукт.  
		 |