|
На данной странице представлена ознакомительная часть выбранного Вами патента
Для получения более подробной информации о патенте (полное описание, формула изобретения и т.д.) Вам необходимо сделать заказ. Нажмите на «Корзину»
| ПРОИЗВОДНЫЕ АЗОЛА, ФАРМАЦЕВТИЧЕСКАЯ КОМПОЗИЦИЯ НА ИХ ОСНОВЕ, ПРОМЕЖУТОЧНЫЕ СОЕДИНЕНИЯ |  |
Номер публикации патента: 2161612 |  |
| Имя заявителя: | ЯМАНОУТИ ФАРМАСЬЮТИКАЛ КО., ЛТД. (JP) | | Изобретатели: | Хитоси НАГАОКА (JP) Масаки ЙОКОТА (JP) Хироаки АКАНЕ (JP) Ясухито АРАКИДА (JP) Ясуо ИСОМУРА (JP) | | Патентообладатели: | ЯМАНОУТИ ФАРМАСЬЮТИКАЛ КО., ЛТД. (JP) | | Номер конвенционной заявки: | HEI-6-249488 | | Страна приоритета: | JP |
Реферат |  |
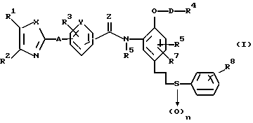
Изобретение относится к новым производным азола общей формулы I, где R1 и R2, одинаковые или различные, каждый представляет водород, циклоалкил и так далее, или R1 и R2 образуют с (а) конденсированное кольцо (b) или (с), которое может быть необязательно замещено замещенным низшим алкилом, аминогруппой и так далее; R3, R6, R7, R8, одинаковые или различные, каждый представляет атом водорода и т.д.; R4 представляет цианогруппу, тетразолил, -COOR9 и т.д.; R5 представляет атом водорода или низший алкил; D представляет необязательно замещенный низший алкилен; X и Z, одинаковые или различные, каждый представляет кислород или серу, Y представляет -N= или -CH=; A представляет -B-O-, -S-B-, -B-S- или -В-; В представляет низший алкилен или низший алкенилен; n = 2. Производные азола общей формулы I или их фармацевтически приемлемые соли с фармацевтически приемлемым носителем образуют фармкомпозицию, обладающую действием антагониста лейкотриена и антагониста тромбоксана A2, полезную для предупреждения или лечения аллергических заболеваний, ишемической болезни сердца и головного мозга. Промежуточные соединения формулы IVc и IIIa. 4 с. и 6 з.п. ф-лы, 39 табл.    
|