|
На данной странице представлена ознакомительная часть выбранного Вами патента
Для получения более подробной информации о патенте (полное описание, формула изобретения и т.д.) Вам необходимо сделать заказ. Нажмите на «Корзину»
| ПРОИЗВОДНЫЕ 2,2,6,6 - ТЕТРАМЕТИЛПИПЕРИДИНА |  |
Номер публикации патента: 2113433 |  |
| Редакция МПК: | 6 | | Основные коды МПК: | C07D211/94 C07D233/52 C07D251/06 | | Аналоги изобретения: | Шелл и др. Доклады Академии Наук СССР. Раздел: Химия. - 200, 1971, с.137- 139. J.Org.Chem., 43, 1976, p. 4279-4283. US, патент, 4344876, кл. C 09 D 3/28, 1982. |
| Имя заявителя: | Циба-Спешиалти Кемикэлс Холдинг Инк. (CH) | | Изобретатели: | Роланд Артур Эдуин Уинтер (US) Джеймс Питер Гэлбо (US) Рэймонд Зельтцер(US) Рудольф Адольф Беренс (US) Эндрю Мар (CA) Питер Джон Шэрман (US) Роджер Франсуа Малэрп (CH) | | Патентообладатели: | Циба-Спешиалти Кемикэлс Холдинг Инк. (CH) | | Номер конвенционной заявки: | 99.411 | | Страна приоритета: | US |
Реферат |  |
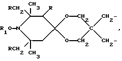
Изобретение относится к производным 2,2,6,6-тетраметилпиперидина формулы I:  где R1 -C1-C18-алкил, R - водород, C5-C8-циклоалкенил и др.; A3-A5 представляет собой, -O- или -(NR3), где R3 = водород, C2-C4-алканоил и др. а) когда п = 1, A3-A5 = NR3, то A1 означает одновалентный остаток и водород, C1-C18 - алкил, в) п = 1, когда A2-A4 - водород либо A1 вместе с A4 образует C2-C8 алкилен, A2 означает кислород или CH2, A3-A5= -O- или с) п = 1, A3-A5= -O- и A2 = O, то A1 вместе с A4 образуют  когда п = 2, A5-A5 является NR3, A2-A4 - водород, то A1 группа формулы:  d = 2-10 или A1 группа формулы , T8 и T9 - водород, C1-C12-алкил или T8 и T9 вместе - триоксапентаметилен и т.д. Соединения формулы I могут быть использованы в качестве эффективных стабилизаторов различных органических материалов, в частности полимеров, от действия света и кислорода. 6 з.п. ф-лы, 14 табл.
|