|
На данной странице представлена ознакомительная часть выбранного Вами патента
Для получения более подробной информации о патенте (полное описание, формула изобретения и т.д.) Вам необходимо сделать заказ. Нажмите на «Корзину»
| ЗАМЕЩЕННЫЕ ПРОИЗВОДНЫЕ СУЛЬФОНИЛМОЧЕВИНЫ ИЛИ ИХ ПРИМЕНИМЫЕ В СЕЛЬСКОМ ХОЗЯЙСТВЕ СОЛИ И ГЕРБИЦИДНОЕ СРЕДСТВО |  |
Номер публикации патента: 2097380 |  |
| Редакция МПК: | 6 | | Основные коды МПК: | C07D239/47 C07D251/52 A01N047/36 | | Аналоги изобретения: | ЕР, патент, 0044212, кл. C 07 D 239/42, 1982. US, патент, 4515624, кл. C 07 D 239/42, 1985. |
| Имя заявителя: | БАСФ Акциенгезельшафт (DE) | | Изобретатели: | Хорст Майер[DE] Герхард Хампрехт[DE] Карл-Отто Вестфален[DE] Маттиас Гербер[DE] Хельмут Вальтер[DE] | | Патентообладатели: | БАСФ Акциенгезельшафт (DE) | | Номер конвенционной заявки: | P 4105518.7 | | Страна приоритета: | DE |
Реферат |  |
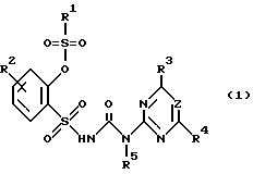
Производные сульфонилмочевины формулы (I)  в которой R1 обозначает соответственно замещенный алкил или фенил; алкенил или пропаргил; алкиламино или диалкиламино; R2 обозначает водород, галоген, соответственно галогензамещенный метил, метокси или этокси, алкилсульфонилгруппу, нитро или циано; R3 обозначает дифторметокси, трифторметокси, бромдифторметокси, хлордифторметокси или фтор; R4 обозначает галоген, соответственно галогензамещенный метил, этил, метокси или этокси, или метил- или диметиламиногруппу; R5 обозначает водород, алкил, алкенил или алкинил; Z обозначает CH или N с указанием, что а) если R3 обозначает дифторметоксигруппу, то R1 не обозначает ди(алкил)аминогруппу, R2 не обозначает алкилсульфонилгруппу, R4 не обозначает метил- или метоксигруппу, б) если R3 обозначает атом фтора и Z обозначает N, то R4 не обозначает алкиламиногруппу, а также их соли. Производные сульфонилмочевины применяются в качестве гербицидов. 2 с. и 5 з.п.ф-лы, 8 табл.
|