|
На данной странице представлена ознакомительная часть выбранного Вами патента
Для получения более подробной информации о патенте (полное описание, формула изобретения и т.д.) Вам необходимо сделать заказ. Нажмите на «Корзину»
| ПРОИЗВОДНЫЕ ИМИДАЗОЛА |  |
Номер публикации патента: 2069212 |  |
| Редакция МПК: | 6 | | Основные коды МПК: | C07D233/84 A61K031/415 | | Аналоги изобретения: | Европейский патент N 234690А, кл. C 07 D 233/84, 1980. |
| Имя заявителя: | Ниппон Кемифар Ко., Лтд. (JP) | | Изобретатели: | Сусуму Окабе[JP] Митсуо Масаки[JP] Томио Ямакава[JP] Хитоси Матсукура[JP] Ютака Номура[JP] | | Патентообладатели: | Ниппон Кемифар Ко., Лтд. (JP) |
Реферат |  |
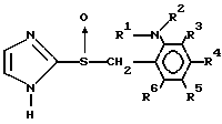
Использование: в качестве противоязвенного средства. Сущность: производные имидазола I, где R1 - водород, алкил C1-C6, R2 - алкил C2-C6, замещенный C1-C4 алкоксигруппой, R3, R4, R5 и R6 - водород, галоид, C1-C6-алкил, C1-C6-алкоксигруппа. Структура соединения формулы I:  4 з.п. ф-лы, 5 табл.
|