Промышленная Сибирь Ярмарка Сибири Промышленность СФО Электронные торги НОУ-ХАУ Электронные магазины Карта сайта
 
 

Поиск патентов

Как искать?
Реферат
Название
Публикация
Регистрационный номер
Имя заявителя
Имя изобретателя
Имя патентообладателя

    





Оформить заказ и задать интересующие Вас вопросы Вы можете напрямую c 6-00 до 14-30 по московскому времени кроме сб, вс. whatsapp 8-950-950-9888

На данной странице представлена ознакомительная часть выбранного Вами патента

Для получения более подробной информации о патенте (полное описание, формула изобретения и т.д.) Вам необходимо сделать заказ. Нажмите на «Корзину»


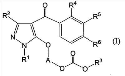
СОЕДИНЕНИЯ БЕНЗОИЛПИРАЗОЛА, СПОСОБ ИХ ПОЛУЧЕНИЯ И ГЕРБИЦИДЫ, СОДЕРЖАЩИЕ ИХ

Номер публикации патента: 2462457

Вид документа: C2 
Страна публикации: RU 
Рег. номер заявки: 2009124489/04 
  Сделать заказПолучить полное описание патента

Редакция МПК: 
Основные коды МПК: C07D231/20   A01N047/06   A01N043/56   A01P013/00    
Аналоги изобретения: ЕР 0352543 А1, 31.01.1990. ЕР 0282944 А2, 21.09.1988. 

Имя заявителя: ИСИХАРА САНГИО КАЙСЯ, ЛТД. (JP) 
Изобретатели: КОМИЕДЗИ Терумаса (JP)
ЦУКАМОТО Масамицу (JP)
КИКУГАВА Хироси (JP)
ХАТА Хироси (JP) 
Патентообладатели: ИСИХАРА САНГИО КАЙСЯ, ЛТД. (JP) 
Приоритетные данные: 28.11.2006 JP 2006-319579 

Реферат


Изобретение относится к новому гербициду, проявляющему превосходные гербицидные действия, который имеет широкий диапазон применения, включающий сельскохозяйственные поля, и несельскохозяйственные площади, и различные методы нанесения, включая обработку почвы и обработку листвы. Соединение бензоилпиразола, представленное формулой (I), где R1 представляет метил, этил или изопропил, R2 представляет атом водорода или метил, R3 представляет метил, этил, изопропил, н-пропил или н-бутил, R4 представляет метил, R5 представляет метоксиэтокси, R6 представляет метилсульфонил, А представляет -СН(СН3); способ его получения; гербицид, содержащий его в качестве активного ингредиента, и способ борьбы с нежелательными растениями или подавления их роста, который содержит нанесение гербицидно эффективного количества его на нежелательные растения или на место их произрастания. 4 н. и 3 з.п. ф-лы, 9 табл., 11 пр.

Дирекция сайта "Промышленная Сибирь"
Россия, г.Омск, ул.Учебная, 199-Б, к.408А
Сайт открыт 01.11.2000
© 2000-2018 Промышленная Сибирь
Разработка дизайна сайта:
Дизайн-студия "RayStudio"