|
На данной странице представлена ознакомительная часть выбранного Вами патента
Для получения более подробной информации о патенте (полное описание, формула изобретения и т.д.) Вам необходимо сделать заказ. Нажмите на «Корзину»
| ПРОИЗВОДНЫЕ ИЗОЗЕРИНА, СПОСОБ ИХ ПОЛУЧЕНИЯ, ФАРМКОМПОЗИЦИЯ И СПОСОБ ИНГИБИРОВАНИЯ |  |
Номер публикации патента: 2126389 |  |
| Имя заявителя: | Лео Фармасьютикал Продактс Лтд. А/С (Левенс Кемиске Фабрик Продукционсактиесельскаб) (DK) | | Изобретатели: | Дорте Кирстейн (DK) Шнеур Рахлин (DK) | | Патентообладатели: | Лео Фармасьютикал Продактс Лтд. А/С (Левенс Кемиске Фабрик Продукционсактиесельскаб) (DK) | | Номер конвенционной заявки: | 9216768.3 | | Страна приоритета: | GB |
Реферат |  |
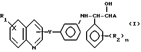
Производные изозерина общей формулы I, где У - -СН=СН-; R1 - водород или галоген; R2 - галоген, СН3, ОСН3, NO2 или СF3, и n =0-3, А - карбокси, или их фармацевтически приемлемые нетоксичные соли, ин виво гидролизуемые сложные эфиры, получают взаимодействием соединения II с соединением формулы III. Соединения формулы I проявляют лейкотриен антагонистическую активность. 4 с. и 4 з.п. ф-лы, 2 табл.   
|