|
На данной странице представлена ознакомительная часть выбранного Вами патента
Для получения более подробной информации о патенте (полное описание, формула изобретения и т.д.) Вам необходимо сделать заказ. Нажмите на «Корзину»
| ПРОИЗВОДНЫЕ 5 - ГИДРАЗИНОХИНОЛОНА, КОМПОЗИЦИЯ ДЛЯ ЛЕЧЕНИЯ ИЛИ ПРОФИЛАКТИКИ ИНФЕКЦИОННОГО ЗАБОЛЕВАНИЯ, СПОСОБ ЛЕЧЕНИЯ ИЛИ ПРОФИЛАКТИКИ |  |
Номер публикации патента: 2126000 |  |
| Редакция МПК: | 6 | | Основные коды МПК: | C07D401/04 C07D215/56 A61K031/47 | | Аналоги изобретения: | WO 16327 A, 1991. Справочник практического врача./Под ред. акад. Воробьева А.И., т.1. - М.: Медицина, 1990, с.5 - 20. US 4668680 A, 1987. WO 09596 A, 1992. EP 350733 A, 1990. EP 417669 A, 1991. |
| Имя заявителя: | Дзе Проктер энд Гэмбл Компани (US) | | Изобретатели: | Демут Томас Проссер (младший) (US) Уайт Рональд Юджин (US) | | Патентообладатели: | Дзе Проктер энд Гэмбл Компани (US | | Номер конвенционной заявки: | 07/968. 960 | | Страна приоритета: | US |
Реферат |  |
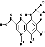
Изобретение относится к новым противомикробным 5-(N-гетерозамещенные амино) хинолоновым соединениям общей формулы I  где R1, R2 и R3 образуют любой их множества хинолонов и близких гетероциклических структур подобных тем, которые известны социалистам как обладающие противомикробной активностью, и (2) (а) R4 и R5 являются, независимо, водородом, низшим алкилом, циклоалкилом, гетероалкилом, или -С(=О)-Х-R8, где X является ковалентной связью, N, O или S и R8 является низшим алкилом, низшим алкенилом, арилалкилом, карбоциклическим кольцом, гетероциклическим кольцом, или (b) R4 и R5 вместе образуют гетероциклическое кольцо, которое включает азот, к которому они присоединены, и их фармацевтически приемлемые соли и биогидролизуемые эфиры и сольваты. Кроме того, изобретение относится к композиции, содержащей соединение формулы I, и к способу лечения или профилактики. 4 с. и 14 з.п.ф-лы.
|