|
На данной странице представлена ознакомительная часть выбранного Вами патента
Для получения более подробной информации о патенте (полное описание, формула изобретения и т.д.) Вам необходимо сделать заказ. Нажмите на «Корзину»
| ГЕТЕРОЦИКЛИЧЕСКИЕ ПРОИЗВОДНЫЕ КАРБОНОВОЙ КИСЛОТЫ И ИХ ФАРМАЦЕВТИЧЕСКИ ПРИЕМЛЕМЫЕ СОЛИ |  |
Номер публикации патента: 2145959 |  |
| Имя заявителя: | Хехст АГ (DE) | | Изобретатели: | Клаус Вейдманн (DE) Карл-Гейнц Барингхауз (DE) Георг Тшанк (AT) Мартин Бикель (DE) | | Патентообладатели: | Хехст АГ (DE) | | Номер конвенционной заявки: | P 4337270.8 | | Страна приоритета: | DE |
Реферат |  |
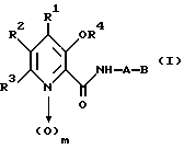
Описываются гетероциклические производные карбоновой кислоты общей формулы (I), где Q, A, B, R1-R4 и m имеют указанные в п. 1 формулы изобретения значения или их фармацевтически приемлемые соли, которые обладают биологической активностью, в частности антифибротической активностью. 10 з.п. ф-лы. 
|