|
На данной странице представлена ознакомительная часть выбранного Вами патента
Для получения более подробной информации о патенте (полное описание, формула изобретения и т.д.) Вам необходимо сделать заказ. Нажмите на «Корзину»
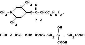
| ГИДРОХЛОРИД ИЛИ ЦИТРАТ (1,2,5 - ТРИМЕТИЛПИПЕРИДИЛ - 4) - ДИФЕНИЛАЦЕТАТА, ОБЛАДАЮЩИЕ МЕСТНОАНЕСТЕЗИРУЮЩИМ И АНТИАРИТМИЧЕСКИМ ДЕЙСТВИЕМ |  |
Номер публикации патента: 1829347 |  |
| Редакция МПК: | 6 | | Основные коды МПК: | C07D211/44 A61K031/445 | | Аналоги изобретения: | Машковский М.Д. Лекарственные средства. М.: Медицина, 1984, т. 1, с. 326. Авторское свидетельство СССР N 1596707, кл. C 07 D 211/48, 1989. |
| Имя заявителя: | Университет дружбы народов им. Патриса Лумумбы | | Изобретатели: | Борисова Т.Н. Крапивко А.П. Простаков Н.С. Варламов А.В. Герчиков Л.Н. Демина |
Реферат |  |
Использование: в качестве веществ, обладающих местноанестезирующим и антиаритмическим действием. Сущность изобретения: продукт - гидрохлорид или цитрат (1,2,5-триметилпиперидил-4)дифенилацетата общей формулы  Ia БФ C22H28NO2Cl, выход 68%, т.пл. 185 - 187oC; Iб БФ C28H35NO9, выход 59%, т. пл. 92 - 94oC. Реагент 1:(1,2,5-триметилпиперидил-4)-дифенилацетат. Реагент 2: хлористый водород или лимонная кислота. Условия реакции: в среде органического растворителя, такого как диоксан или эфир. 1 табл.
|