|
На данной странице представлена ознакомительная часть выбранного Вами патента
Для получения более подробной информации о патенте (полное описание, формула изобретения и т.д.) Вам необходимо сделать заказ. Нажмите на «Корзину»
| ПРОЛЕКАРСТВА 3 - АЦИЛ - 2 - ОКСИНДОЛ - 1 - КАРБОКСАМИДОВ, ФАРМАЦЕВТИЧЕСКАЯ КОМПОЗИЦИЯ |  |
Номер публикации патента: 2124514 |  |
| Редакция МПК: | 6 | | Основные коды МПК: | C07D409/06 C07D209/04 A61K031/40 | | Аналоги изобретения: | US 5036099, 1991. US 5118703, 1992. Машковский М.Д. Лекарственные средства. - М.: Медицина, ч.1, 1988, с.190-192. |
| Имя заявителя: | Пфайзер Инк. (US) | | Изобретатели: | Вейн Е.Барт (US) Келвин Купер (GB) Эдвард Ф.Клейнман (US) Лоуренс А.Рейтер (US) Ральф П.Робинсон (US) | | Патентообладатели: | Пфайзер Инк. (US) | | Номер конвенционной заявки: | 08/009.188 | | Страна приоритета: | US |
Реферат |  |
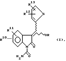
Пролекарства-3-ацил-2-оксииндол-1-карбоксамида формулы I, где R представляет собой фрагменты формулы II-VI, x - O или 1, A - C1-5-алкилен, необязательно замещенный 1-2 C3-7-циклоалкилами или фениленовая группа; B - C2-5-алкенилфенил, пиридил, пиперидинил, пирролидинил, -OCH2CO2 R1 или -OCH2CONR2R3; R1 - H, алкил, фенил низший алкил или (CH2)pCONR2R3; R2 и R3 - H, алкил или вместе с присоединенным атомом азота образуют морфолиновую группу; R4 и R5 - H, алкил, (CH2)pCO-NR4R3, (CH2)pNR7R8, (CH2)pOR6 или (CH2)pSR6; R6 - H, алкил, C3-7-циклоалкил, необязательно замещенный 1-2 алкильными группами, или взятые вместе с заместителем и присоединенным атомом кислорода образуют тетрагидрофурановое кольцо; R7 и R8 - H, алкил; R9 - H или метил; R10 и R11 - галоген; R12 и R13 - H, галоген, p = 1 - 3. Соединения I относятся к фенольным сложноэфирным и эфирнм пролекарствам оксииндола, обладающим обезболивающим и противовоспалительным действием. 3 с. и 12 з.п.ф-лы, 7 табл.      
|