|
На данной странице представлена ознакомительная часть выбранного Вами патента
Для получения более подробной информации о патенте (полное описание, формула изобретения и т.д.) Вам необходимо сделать заказ. Нажмите на «Корзину»
| ПРОИЗВОДНЫЕ ПИРРОЛИДИНА И ИХ ФАРМАЦЕВТИЧЕСКИ ПРИЕМЛЕМЫЕ СОЛИ, СПОСОБ ИХ ПОЛУЧЕНИЯ, ФАРМАЦЕВТИЧЕСКАЯ КОМПОЗИЦИЯ |  |
Номер публикации патента: 2095346 |  |
| Редакция МПК: | 6 | | Основные коды МПК: | C07D207/14 A61K031/40 | | Аналоги изобретения: | EP, патент, 289911, кл.C 07D 207/14, 1988. EP, патент, 367130, кл.C 07D 207/14, 1990. EP, патен, 648743, кл.C 07D 207/14, 1995. US, патент, 4775680, кл.A 61K 31/405, 1988. |
| Имя заявителя: | Фудзисава Фармасьютикал Ко, Лтд. (JP) | | Изобретатели: | Хироюки Сетои[JP] Акихико Савада[JP] Хироказу Танака[JP] Масаки Хасимото[JP] | | Патентообладатели: | Фудзисава Фармасьютикал Ко, Лтд. (JP) | | Номер конвенционной заявки: | 8825454.5 | | Страна приоритета: | GB |
Реферат |  |
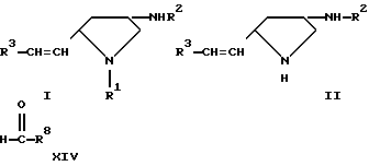
Сущность изобретения. Предложены производные пирролидина формулы (I), где R1 - гетерил(низший)алкил, (C1-C12) алкил и необязательно замещенный фенил(низший)алкил; R2 - H, фенил(низший)алкоксикарбонил или необязательно замещенный фенилсульфонил; R3 - карбокси(низший)алкил, этерифицированный карбокси низший алкил, карбоксифенил или этерифицированный карбоксифенил; и его фармацевтически приемлемые соли, которые получают взаимодействием соединения формулы (II) с соединением формулы (XIV) или его солью. Предложена фармкомпозиция, обладающая антагонистическим действием в отношении тромбоксана A2(TXA2) и ингибирующая TXA2 - синтазу, на основе соединения формулы (I). 3 с. и 5 з.п. ф-лы. я
|