Промышленная Сибирь Ярмарка Сибири Промышленность СФО Электронные торги НОУ-ХАУ Электронные магазины Карта сайта
 
 

Поиск патентов

Как искать?
Реферат
Название
Публикация
Регистрационный номер
Имя заявителя
Имя изобретателя
Имя патентообладателя

    





Оформить заказ и задать интересующие Вас вопросы Вы можете напрямую c 6-00 до 14-30 по московскому времени кроме сб, вс. whatsapp 8-950-950-9888

На данной странице представлена ознакомительная часть выбранного Вами патента

Для получения более подробной информации о патенте (полное описание, формула изобретения и т.д.) Вам необходимо сделать заказ. Нажмите на «Корзину»


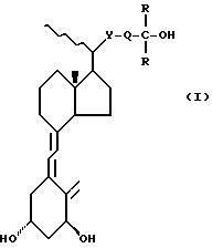
АНАЛОГИ ВИТАМИНА D, СПОСОБЫ ИХ ПОЛУЧЕНИЯ И ФАРМАЦЕВТИЧЕСКАЯ КОМПОЗИЦИЯ

Номер публикации патента: 2136660

Вид документа: C1 
Страна публикации: RU 
Рег. номер заявки: 95113480 
  Сделать заказПолучить полное описание патента

Редакция МПК: 
Основные коды МПК: C07C401/00   A61K031/59    
Аналоги изобретения: WO 009992 A, 1990. Chem. Pharm. Bull., 34, 4410 - 4413, 1986. Chem. Pharm. Bull., 39, 3221 - 3224, 1991. Тринус Ф.П. Фармако-терапевтический справочник. - Киев, Здоровья, 1989, с.288. SU 1445729, 1988. WO 90/03173, 05.04.90. US 4749710, 1988. 

Имя заявителя: Лео Фармасьютикал Продактс Лтд. А/С (Левенс Кемиске Фабрик Продукционсактиесельскаб) (DK) 
Изобретатели: Гуннар Груэ-Серенсен (DK)
Эрик Рюттер Оттосен (DK) 
Патентообладатели: Лео Фармасьютикал Продактс Лтд. А/С (Левенс Кемиске Фабрик Продукционсактиесельскаб) (DK) 
Номер конвенционной заявки: 9226877.0 
Страна приоритета: GB 

Реферат


Аналоги витамина D общей формулы I, где Y - сера, R - С13-алкил, или R-С-R может образовывать бензильный радикал, Q - С24-алкилен, причем одна или более гидроксигрупп защищены в виде групп, которые могут быть преобразованы в гидроксигруппы in vivo, проявляют противовоспалительные и иммуномодулирующие эффекты, также как и сильную активность при индуцировании дифференциации и ингибировании нежелательной пролиферации определенных клеток. 4 с. и 5 з.п. ф-лы, 2 табл.


Дирекция сайта "Промышленная Сибирь"
Россия, г.Омск, ул.Учебная, 199-Б, к.408А
Сайт открыт 01.11.2000
© 2000-2018 Промышленная Сибирь
Разработка дизайна сайта:
Дизайн-студия "RayStudio"