|
На данной странице представлена ознакомительная часть выбранного Вами патента
Для получения более подробной информации о патенте (полное описание, формула изобретения и т.д.) Вам необходимо сделать заказ. Нажмите на «Корзину»
| ПРОИЗВОДНОЕ β - ФЕНИЛИЗОСЕРИНА, СПОСОБ ЕГО СТЕРЕОСЕЛЕКТИВНОГО ПОЛУЧЕНИЯ, ИСХОДНОЕ СОЕДИНЕНИЕ ДЛЯ ЕГО ПОЛУЧЕНИЯ, СПОСОБ ПОЛУЧЕНИЯ ТАКСАНА И ПРОМЕЖУТОЧНЫЕ ПРОДУКТЫ |  |
Номер публикации патента: 2109010 |  |
| Имя заявителя: | Рон-Пуленк Роре С.А. (FR) | | Изобретатели: | Жан-Ноель Дени[BE] Андрев Грин[US] Алис Каназава[BR] | | Патентообладатели: | Рон-Пуленк Роре С.А. (FR) | | Номер конвенционной заявки: | 92 11 740 | | Страна приоритета: | FR |
Реферат |  |
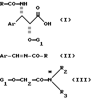
Способ стереоселективного получения производного β фенилизосерина формулы (I) путем воздействия N-карбонилбензилимина формулы (II) на оптически активный амид защищенной окси-уксусной кислоты формулы (III) и последующего гидролиза полученного при этом соединения. В формулах (I) - (III) R представляет собой возможно замещенный фенил или R1 - 0, Ar представляет собой возможно замещенный арил, а G1 представляет собой защитную группу функциональной гидрокси группы, R1 - прямой или разветвленный С1 - С8-алкил. Соединение формулы (I), в частности применяется для получения таксола или таксотера, которые обладают замечательными противоопухолевыми свойствами 6 с. и 16 з.п. ф-лы.
|