|
На данной странице представлена ознакомительная часть выбранного Вами патента
Для получения более подробной информации о патенте (полное описание, формула изобретения и т.д.) Вам необходимо сделать заказ. Нажмите на «Корзину»
| N,N - ДИМЕТИЛАМИНОМЕТИЛИРОВАННЫЕ АРОМАТИЧЕСКИЕ ОСНОВАНИЯ ШИФФА В КАЧЕСТВЕ УСКОРИТЕЛЯ ОТВЕРЖДЕНИЯ ЭПОКСИДНЫХ СМОЛ И СПОСОБ ИХ ПОЛУЧЕНИЯ |  |
Номер публикации патента: 2134259 |  |
| Редакция МПК: | 6 | | Основные коды МПК: | C07C251/24 C07C249/02 | | Аналоги изобретения: | SU 214704 A, 19.06.68. SU 407929 A, 10.12.73. SU 595299 A, 28.02.78. GB 1342214 A, 03.01.74. US 4987255 A, 22.01.91. EP 043200 A1, 12.06.91. GB 1377887 A, 12.07.74. |
| Имя заявителя: | Стерлитамакский нефтехимический завод | | Изобретатели: | Тимофеев В.П. Ниязов Н.А. Джемелев У.М. Матросова Л.В. Сурков В.Д. | | Патентообладатели: | Стерлитамакский нефтехимический завод |
Реферат |  |
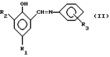
Предложены основания Шиффа формул I, II и III, где R1-H; R2-CH2N(CH3)2; R3-H, o-CH3, n-CH3, o-OCH3, n-OCH3, o-NO2, n-NO2, m-NO2, которые используются в качестве ускорителей отверждения эпоксидных смол. Соединения I,II,III получают взаимодействием ароматического основания Шиффа (АОШ) формулы (o-OH)C6H4-CH=N-C6H4-R3 с N,N-тетраметилметиленбисамином в среде С1-С5-алифатического спирта при молярном соотношении АОШ: бисамин: растворитель 1: (2,1-2,5): (2,5-10,0) в течение 4-18 ч при 18-120oC и давлении 1-6 атм. 2 с.п. ф-лы, 3 табл.   
|