|
На данной странице представлена ознакомительная часть выбранного Вами патента
Для получения более подробной информации о патенте (полное описание, формула изобретения и т.д.) Вам необходимо сделать заказ. Нажмите на «Корзину»
| ПРОИЗВОДНЫЕ 1,3 - ОКСАЗИН - 4 - ОНА, ПРОИЗВОДНОЕ ЭФИРА N - МЕТИЛЕНАМИНОКИСЛОТЫ, ГЕРБИЦИДНАЯ КОМПОЗИЦИЯ, СПОСОБ БОРЬБЫ С СОРНЯКАМИ |  |
Номер публикации патента: 2125562 |  |
| Редакция МПК: | 6 | | Основные коды МПК: | C07D265/06 C07C229/12 A01N043/86 | | Аналоги изобретения: | WO 93/15064 A1, 05.08.93. SU 977450 A, 1982. SU 999969 A, 1985. EP 0372586 A2, 1990. DE 3836742 A1, 1990. EP 0384736 A1, 1990. EP 0557691 A1, 01.09.93. |
| Имя заявителя: | Мицубиси Кемикал Корпорейшн (JP) | | Изобретатели: | Кеиити Хаясизаки (JP) Есихиро Усуи (JP) Коити Араки (JP) Норисиге Тосима (JP) Тетсуя Мурата (JP) Такако Аоки (JP) Атсуси Го (JP) Хидеси Мукаида (JP) Рика Хигураси (JP) | | Патентообладатели: | Мицубиси Кемикал Корпорейшн (JP) | | Номер конвенционной заявки: | 5-326733 | | Страна приоритета: | JP |
Реферат |  |
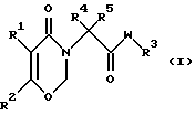
Производные 1,3-оксазин-4-она, формулы I, где R1-фенил, возможно замещенный галогеном или низшим алкилом; R2, R6 - H, низший алкил; R3 - H, низший алкил, 1-фенилэтил, 2-фенилэтил, 1-метил-1-фенилэтил или фенил, возможно замещенный галогеном, гидрокси, низшим алкилом, низшим алкоксилом, фенокси, алкилтио-, алкилсульфонилгруппой, низшим галогеналкилом, галогеналкоксилом, алкоксикарбонилом, алкоксикарбонилалкоксилом, ацетилом, CN или NO2; R4 и R5 - низший алкил; W - атом кислорода или - N(R6). Соединения I могут использоваться в качестве гербицидов как в чистом виде, так и в виде композиций, обладают сильным гербицидным действием на многие виды сорняков, но при этом они обладают очень слабой фитотоксичностью по отношению к полезным культурам. 4 с. и 12 з.п. ф-лы, 12 табл. 
|