|
На данной странице представлена ознакомительная часть выбранного Вами патента
Для получения более подробной информации о патенте (полное описание, формула изобретения и т.д.) Вам необходимо сделать заказ. Нажмите на «Корзину»
| 6 - ДИМЕТИЛАМИНОМЕТИЛ - 1 - ФЕНИЛЦИКЛОГЕКСАНОВЫЕ СОЕДИНЕНИЯ В КАЧЕСТВЕ ФАРМАЦЕВТИЧЕСКИ ДЕЙСТВУЮЩИХ ВЕЩЕСТВ И СПОСОБЫ ИХ ПОЛУЧЕНИЯ (ВАРИАНТЫ) |  |
Номер публикации патента: 2178409 |  |
| Имя заявителя: | ГРЮНЕНТАЛЬ ГМБХ (DE) | | Изобретатели: | БУШМАНН Гельмут Хайнрих (DE) ШТРАССБУРГЕР Вольфганг Вернер Альфред (DE) ЗЕЛЬВЕ Норма (DE) ФРИДЕРИКС Эльмар Йозеф (DE) | | Патентообладатели: | ГРЮНЕНТАЛЬ ГМБХ (DE) | | Номер конвенционной заявки: | 19525137.7 | | Страна приоритета: | DE | | Патентный поверенный: | Веселицкая Ирина Александровна |
Реферат |  |
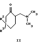
Изобретение относится к новым 6-диметиламинометил-1-фенилциклогексановым соединениям общей формулы 1 в виде оснований или их физиологически приемлемых солей, проявляющим анальгетическую активность и предназначенным для получения фармацевтической композиции, а также к способам их получения. В общей формуле I радикалы имеют следующие значения: R1 представляет собой Н, ОН, Сl или F; R2 и R3 являются идентичными или разными и означают Н, С1-С4алкил, CF3, ОН, ОСН2-С6Н5, O-С1-С4алкил, при условии, что по крайней мере один из радикалов R2 или R3 означает Н; R4 означает Н, СН3, СО(ОС1-С5алкил), СО-NН-С6H4-С1-С3алкил, CO-C6H4-R5, СО-С1-С5алкил, CO-CHR6-NHR7 или незамещенную, либо замещенную С1-С4алкилом пиридиловую или фенильную группу; R5 означает ОС(O)С1-С3алкил в орто-положении или CH2-N(R8)2 в мета- либо пара-положении, причем оба радикала R8 вместе с N представляют собой 4-морфолиновый радикал; и R6, R7 являются идентичными или разными и означают Н или С1-С6алкил при условии, что если оба радикала R2 и R3 означают Н, то R4 не является CH3, если R1 означает Н, ОН или Сl, либо R4 не является Н, если R1 означает ОН. Описываются также различные способы получения соединений формулы I. Например, для получения соединений, где R1 означает ОН, диметиламинокетон формулы II подвергают взаимодействию с металлорганическим соединением формулы III, или диметиламинокетон со спироциклической ацетильной группой формулы V подвергают взаимодействию с металлорганическим соединением формулы III, с получением соединения формулы VI, которое деацетилированием переводят в соединение кетона VIII, с последующим восстановлением комплексным гидридом щелочного металла до соединения формулы I, которое после перевода в соль щелочного металла переводят в соответствующее O-алкил или O-бензилпроизводное. Описывается также способы получения соединений, где R1 означает Н, или соединений, где R1 означает F. 7 с. и 4 з. п. ф-лы, 1 табл.      
|