|
На данной странице представлена ознакомительная часть выбранного Вами патента
Для получения более подробной информации о патенте (полное описание, формула изобретения и т.д.) Вам необходимо сделать заказ. Нажмите на «Корзину»
| СПОСОБ ПОЛУЧЕНИЯ СЛОЖНЫХ ЭФИРОВ 2,2 - ДИМЕТИЛ 3 - [(Z) - 1 - ПРОПЕНИЛ]ЦИКЛОПРОПАНКАРБОНОВОЙ КИСЛОТЫ И ПРОМЕЖУТОЧНЫЕ СОЕДИНЕНИЯ |  |
Номер публикации патента: 2128161 |  |
| Редакция МПК: | 6 | | Основные коды МПК: | C07C067/317 C07C069/743 C07C069/757 C07C255/39 A01N053/00 | | Аналоги изобретения: | SU 1342408 A, 1987. HU 170886 A, 1978. EP 41021 A, 1981. EP 281439 A, 1988. Tetrahedron Lett. Stereocelective Preparation. 1986, v.27, N 35, p.4119 - 4120. Organic Synthesis. 1973, v.53, p.123 - 127. |
| Имя заявителя: | Руссель-Юклаф (FR) | | Изобретатели: | Дидье Бабен (FR) Неержа Бхатнагар (IN) Франси Брион (FR) Колетт Колладан (FR) | | Патентообладатели: | Руссель-Юклаф (FR) | | Номер конвенционной заявки: | 9206772 | | Страна приоритета: | FR |
Реферат |  |
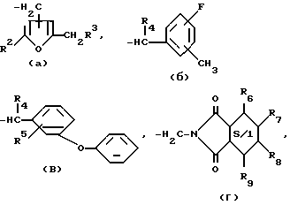
Изобретение относится к новому способу получения сложных эфиров циклопропанкарбоновой кислоты формулы I  где R - сложноэфирный остаток, расщепляемый в нейтральной или кислой среде и являющийся С1-18алкилом, возможно замещенным галогеном или бензильным радикалом, возможно замещенным по вершинам ароматического кольца одним или несколькими атомами галогена, либо радикал формул (а) -(г),  где R2 - Н или метил; R3 - арил; R4 - CN, Н; R5 - фтор, хлор, бром или водород; R6, R7, R8, R9 - водород или метил; S/1 символизирует тетрагидроцикл. Способ заключается в обработке сложного эфира формулы II  примерно 2 эквивалентами галогенирующего средства с последующей обработкой полученного в виде смеси изомеров соединения III  основным средством в присутствии соединения R1OH в среде соответствующего сорастворителя. Способ отличается исключительной избирательностью, поскольку он приводит к получению соединений формулы 1 с конфигурацией ( Z ), то есть к биологически активной форме этих соединений. 4 с. и 8 з.п. ф-лы.
|