| 
			
					
			 На данной странице представлена ознакомительная часть выбранного Вами патента 
			
				Для получения более подробной информации о патенте (полное описание, формула изобретения и т.д.) Вам необходимо сделать заказ. Нажмите на «Корзину» 
			
			 
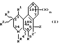
		   | БЕНЗО[F]ХИНОЛИНОНЫ, СПОСОБ ИНГИБИРОВАНИЯ, СПОСОБ ПОЛУЧЕНИЯ БЕНЗО(F)ХИНОЛИНОНОВ, СПОСОБ РАСЩЕПЛЕНИЯ РАЦЕМАТОВ И СОЛЬ ДИ - П - ТОЛУОИЛ - (D) ИЛИ (L) - ВИННОЙ КИСЛОТЫ |      |  
 
 Номер публикации патента: 2126386 |   |  
  
	
	 
	
| Редакция МПК:  | 6  |  | Основные коды МПК:  | C07D211/00   C07C049/737   A61K031/47     |  | Аналоги изобретения:  | 1. J.Med. Chem., 23(1) 1-5, 1980. 2. Hott et al. J.Med. Chem 33, 943-950, 1990. 3. Сатоскар Р.С., Бандаркар С.Д., Фармакология и фармакотерамия. Т.2. - М.: Медицина, 1986, с.340-347.  |  
	 
	 
	
| Имя заявителя:  | Эли Лилли энд Компани (US)  |  | Изобретатели:  | Джеймс Эдмунд Одиа (US) Кеннет Стивен Херч (US) Чарльз Дэвид Джонс (US) Дэвид Эрнст Лохорн (US) Лоретта Эмс МакКуайд (US)  |  | Патентообладатели:  | Эли Лилли энд Компани (US)  |  | Номер конвенционной заявки:  | 07/748.116  |  | Страна приоритета:  | US  |  
	 
	 
Реферат |   |  
 
 Бензо[f]хинолинон формулы I, где R - Н, алкил или феналкил; Z и Z' - Н, алкил или один из Z и Z' с R5 образуют связь углерод-углерод; Y - Н или метил или с R1 образует связь углерод-углерод; R1 - Н или с одним из Y или R3 образует связь углерод-углерод; R2 - Н или С1-4алкил; R3 - Н или с R1 образует связь углерод-углерод; R4 - Н или с R5 образует связь углерод-углерод; R5 - Н или с одним из Z или Z' образует связь углерод-углерод; n - 1 или 2; Х - Н, галоген, NO2, циано, СF3, С1-6алкил, алкокси, карбокси, алкоксикарбонил, амино, амидо или группа -А O- R6, где А - С1-6алкилен, С2-6алкенил или С2-6алкинилен; R6 -галоген, гидрокси, СF3, алкокси, карбокси, алкоксикарбонил, амино, алкиламино, амидо, алкиламидо или его фармацевтически приемлемая соль. Соединения 1 представляют собой сильнодействующие селективные стероидные ингибиторы 5α-редуктазы, полезные в лечении доброкачественных образований предстательной железы, облысения у мужчин, угрей, себореи. 7 с. и 12 з.п. ф-лы, 1 табл.   (I)  
		 |