Промышленная Сибирь Ярмарка Сибири Промышленность СФО Электронные торги НОУ-ХАУ Электронные магазины Карта сайта
 
 

Поиск патентов

Как искать?
Реферат
Название
Публикация
Регистрационный номер
Имя заявителя
Имя изобретателя
Имя патентообладателя

    





Оформить заказ и задать интересующие Вас вопросы Вы можете напрямую c 6-00 до 14-30 по московскому времени кроме сб, вс. whatsapp 8-950-950-9888

На данной странице представлена ознакомительная часть выбранного Вами патента

Для получения более подробной информации о патенте (полное описание, формула изобретения и т.д.) Вам необходимо сделать заказ. Нажмите на «Корзину»


СИСТЕМА УПРАВЛЕНИЯ ПЕРЕДАЧЕЙ СООБЩЕНИЙ ПО ПОЕЗДНОЙ РАДИОСВЯЗИ

Номер публикации патента: 2432284

Вид документа: C1 
Страна публикации: RU 
Рег. номер заявки: 2010115347/11 
  Сделать заказПолучить полное описание патента

Редакция МПК: 
Основные коды МПК: B61L027/04    
Аналоги изобретения: US 6799097 В2, 28.09.2004. RU 92589 U1, 20.03.2010. RU 2305044 С2, 27.08.2007. RU 38985 U1, 10.07.2004. 

Имя заявителя: Открытое акционерное общество "Научно-исследовательский и проектно-конструкторский институт информатизации, автоматизации и связи на железнодорожном транспорте" (ОАО "НИИАС") (RU) 
Изобретатели: Миронов Владимир Сергеевич (RU)
Раков Виктор Викторович (RU)
Ададуров Сергей Евгеньевич (RU)
Иванов Михаил Тимофеевич (RU)
Вериго Александр Михайлович (RU)
Розенберг Ефим Наумович (RU) 
Патентообладатели: Открытое акционерное общество "Научно-исследовательский и проектно-конструкторский институт информатизации, автоматизации и связи на железнодорожном транспорте" (ОАО "НИИАС") (RU) 

Реферат


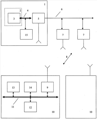
Изобретение относится к системам поездной радиосвязи и может быть использовано для централизованного диспетчерского управления на железнодорожном транспорте. Система содержит на центральном посту диспетчерского управления автоматизированное рабочее место поездного диспетчера, персональный компьютер которого соединен через цифровой интерфейс связи со стационарной распорядительной радиостанцией, которая посредством проводного канала диспетчерской связи соединена со стационарными радиостанциями промежуточных станций. Каждая из стационарных радиостанций через цифровой радиоканал соединена с бортовыми радиостанциями локомотивов, находящихся в зоне устойчивой радиосвязи. Бортовая радиостанция локомотива через бортовой цифровой интерфейс связи соединена с бортовым устройством управления. На локомотиве установлены блок определения границ местонахождения поезда и блок формирования сообщений, которые через бортовой цифровой интерфейс связи соединены с бортовым устройством управления. На центральном посту диспетчерского управления установлен сервер сообщений, который через цифровой интерфейс связи соединен с персональным компьютером автоматизированного рабочего места поездного диспетчера. Достигается повышение технологической дисциплины за счет повышения оперативности и достоверности формирования и передачи ответственных сообщений по поездной радиосвязи. 1 ил.

Дирекция сайта "Промышленная Сибирь"
Россия, г.Омск, ул.Учебная, 199-Б, к.408А
Сайт открыт 01.11.2000
© 2000-2018 Промышленная Сибирь
Разработка дизайна сайта:
Дизайн-студия "RayStudio"