Промышленная Сибирь Ярмарка Сибири Промышленность СФО Электронные торги НОУ-ХАУ Электронные магазины Карта сайта
 
 

Поиск патентов

Как искать?
Реферат
Название
Публикация
Регистрационный номер
Имя заявителя
Имя изобретателя
Имя патентообладателя

    





Оформить заказ и задать интересующие Вас вопросы Вы можете напрямую c 6-00 до 14-30 по московскому времени кроме сб, вс. whatsapp 8-950-950-9888

На данной странице представлена ознакомительная часть выбранного Вами патента

Для получения более подробной информации о патенте (полное описание, формула изобретения и т.д.) Вам необходимо сделать заказ. Нажмите на «Корзину»


КОМБИНАЦИЯ АНТАГОНИСТА МУСКАРИНОВОГО РЕЦЕПТОРА И АГОНИСТА БЕТА - 2 - АДРЕНОРЕЦЕПТОРА

Номер публикации патента: 2460527

Вид документа: C2 
Страна публикации: RU 
Рег. номер заявки: 2009133261/15 
  Сделать заказПолучить полное описание патента

Редакция МПК: 
Основные коды МПК: A61K031/421   A61K045/00   A61K031/428   A61K031/167   A61P011/00   A61P011/08    
Аналоги изобретения: WO 01/12167 A2, 22.02.2001. RU 2005108050 A, 20.01.2006. US 2002/0052312 A1, 02.05.2002. EP 0307141 A2, 15.03.1989. WO 97/30994 A1, 28.08.1997. WO 2005/115467 A1, 08.12.2005. 

Имя заявителя: Арджента Дискавери Лтд (GB),
АстраЗенека АБ (SE) 
Изобретатели: ФИНЧ Гарри (GB)
УИЛИ Кэтрин (GB)
ДИКСОН Джон (GB) 
Патентообладатели: Арджента Дискавери Лтд (GB)
АстраЗенека АБ (SE) 
Приоритетные данные: 07.02.2007 GB 0702385.6 

Реферат


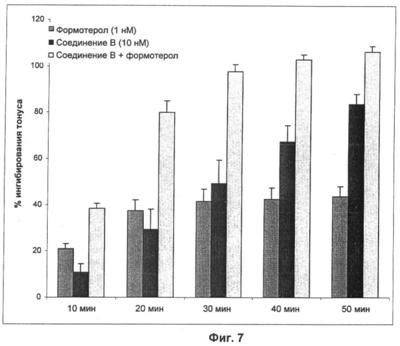
Предложены: фармацевтический продукт для лечения респираторного заболевания, содержащий комбинацию первого активного ингредиента, выбранного мускаринового антагониста, и второго активного ингредиента, агониста 2-адренорецептора, где каждый активный ингредиент приготовлен в виде препарата для ингаляционного введения; соответствующие набор, фармацевтическая композиция, а также применение указанного продукта для изготовления лекарственного средства для лечения респираторного заболевания и соответствующий способ лечения респираторных заболеваний, таких как хроническая обструктивная болезнь легких и астма. Показано усиление ингибирования заявленной комбинацией индуцированного метахолином тонуса колец трахеи in vitro против самостоятельного введения активных ингредиентов, а также усиление ею бронхопротекции (ингибирования бронхостеноза) in vivo. 5 н. и 7 з.п. ф-лы, 9 ил., 3 табл.

Дирекция сайта "Промышленная Сибирь"
Россия, г.Омск, ул.Учебная, 199-Б, к.408А
Сайт открыт 01.11.2000
© 2000-2018 Промышленная Сибирь
Разработка дизайна сайта:
Дизайн-студия "RayStudio"