|
На данной странице представлена ознакомительная часть выбранного Вами патента
Для получения более подробной информации о патенте (полное описание, формула изобретения и т.д.) Вам необходимо сделать заказ. Нажмите на «Корзину»
| СОЧЕТАНИЕ ИНГИБИТОРА УСВОЕНИЯ 5 - НТ С СЕЛЕКТИВНЫМ 5 - НТ1A АНТАГОНИСТОМ |  |
Номер публикации патента: 2183955 |  |
| Редакция МПК: | 7 | | Основные коды МПК: | A61K031/352 A61K031/4406 A61P025/24 | | Аналоги изобретения: | WO 95/11891 А, 04.05.1995. Samuel Perry et al. Pirdolol onduces a repid impovemnt of depressed patients treated with serotonin reuptake inhibitors . Arch. Gen. Psychiatry. 1994, v.51, р.248-251. Крылов Ю.Ф. Энциклопедия лекарств. - М., 2000, с.990. |
| Имя заявителя: | АСТРАЗЕНЕКА АБ (SE) | | Изобретатели: | ЭВЕНДЕН Джон (SE) ТОРБЕРГ Сент-Олов (SE) | | Патентообладатели: | АСТРАЗЕНЕКА АБ (SE) | | Номер конвенционной заявки: | 9501567-3 | | Страна приоритета: | SE | | Патентный поверенный: | Лебедева Наталья Георгиевна |
Реферат |  |
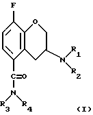
Изобретение относится к области медицины и касается комбинации первого компонента (а), который представляет собой ингибитор повторного усвоения 5-НТ со вторым компонентом (б), который является селективным 5-НТ1А антагонистом формулы (I), где R1 представляет собой н-пропил или циклобутил; R2 представляет собой изопропил, трет-бутил, циклобутил, циклопентил или циклогексил; R3 представляет собой атом водорода; R4 представляет собой атом водорода или метил; в форме (R)-энантиомера в виде свободного основания или его фармацевтически приемлемых солей, к его получению, к фармацевтическим препаратам для лечения аффективных нарушений, содержащим указанное сочетание. Описанная комбинация более эффективна при лечении аффективных состояний. 7 c. и 12 з.п. ф-лы, 1 ил. 
|