| На данной странице представлена ознакомительная часть выбранного Вами патента Для получения более подробной информации о патенте (полное описание, формула изобретения и т.д.) Вам необходимо сделать заказ. Нажмите на «Корзину» 
    | ПРОИЗВОДНЫЕ 7 - [3 - [4 - (6 - ФТОРБЕНЗО[D]ИЗОКСАЗОЛ - 3 - ИЛ)ПИПЕРИДИН - 1 - ИЛ]ПРОПОКСИ] - ХРОМЕН - 4 - ОНА, СПОСОБ ИХ ПОЛУЧЕНИЯ, ФАРМАЦЕВТИЧЕСКАЯ КОМПОЗИЦИЯ ДЛЯ ИНГИБИРОВАНИЯ D2 - ,5 - HT2A - И H1 - РЕЦЕПТОРОВ И СПОСОБ ИНГИБИРОВАНИЯ D2 - ,5 - HT2A - И H1 - РЕЦЕПТОРОВ ПРИ ЛЕЧЕНИИ ПСИХОЗА И ШИЗОФРЕНИИ |  | 
 | Номер публикации патента: 2179556 |  | 
 
| Редакция МПК: | 7 |  | Основные коды МПК: | C07D413/14   A61K031/352   A61K031/4433   A61P025/00 |  | Аналоги изобретения: | WO 9632389 A, 17.10.1996. EP 190015 A, 06.08.1986. EP 428437 A, 22.05.1991. RU 94039284 A1, 10.08.1996. Каплан Г.И. и др. Клиническая психиатрия. - М.: Медицина, 1994, с. 264-269. |  
 
| Имя заявителя: | Феррер Интернасионал, С.А. (ES) |  | Изобретатели: | БОЛОС Хорди (ES) КАСТЕЛЛО Хосеп М. (ES)
 ОРТИС Хосе А. (ES)
 САКРИСТАН Аурелио (ES)
 ФОГЕТ Рафаэль (ES)
 |  | Патентообладатели: | Феррер Интернасионал, С.А. (ES) |  | Номер конвенционной заявки: | 9702718 |  | Страна приоритета: | ES |  | Патентный поверенный: | Попеленский Николай Константинович |  
 | Реферат |  | 
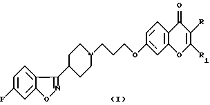
 Изобретение относится к новым производным 7-[3-[4-(6-фторбензо[d] изоксазол-3-ил)пиперидин-1-ил] пропокси] -хромен-4-она формулы I, где R означает водород, СНО, CH2OR2 или СООН; R1 означает алкил, содержащий от 1 до 4 атомов углерода, при условии, что один из заместителей R и R1 является водородом, и их фармацевтически приемлемым солям, предназначенным для использования при лечении психоза и шизофрении, а также к способу получения этих соединений, фармацевтической композиции на их основе и способу ингибирования D2-, 5-HT2a- и Н1-рецепторов при лечении психоза и шизофрении. Технический результат - получение новых соединений, используемых в медицине в качестве лекарственных средств. 4 с. и 3 з.п. ф-лы, 3 табл.   
 |